BTC/HKD-3.65%
ETH/HKD-4.36%
LTC/HKD-1.64%
ADA/HKD-4.08%
SOL/HKD-8.19%
XRP/HKD-3.23%導語:
伴隨比特幣突破3萬美金,礦工挖礦再回公眾視野。但比特幣由于礦池數量減少和挖Token難度增加,這時將目光對準其他加密資產不失是一種好策略。本文從挖礦的實際出發,詳細比較兩種不同類型挖礦技術的優劣,通過專業視角,來看一下為什么分布式存儲行業,成為很多人蜂擁而至的淘金之地。
一、挖礦哲學
礦工挖礦,分布式存儲賽道領域一個充滿爭議的話題。究其原因,主要與加密資產Token價、挖礦成本、回本速度等密不可分。
最近,隨著加密資產的整體上漲,加密資產的市值再次水漲船高,掀起新一輪加密資產挖礦熱潮。2020年,央視一套新聞聯播還史無前例地報導了加密資產的現狀。在全球所有資產中,加密資產一騎絕塵,領跑所有有價資產。
然而,分布式挖礦賽道卻是一條競爭激烈,少有弱旅的賽道。分支領域中,無論是諸如Sia、Storj類的“元老級”項目,還是類如IPFS、DxChain或者Arweave之類的新起之秀,都賺足投資人的眼球。整體而言,無論是上述選手,還是新來成員如Epik、Crust等分食者,項目一上市便遭到投資者瘋搶。
如今,“社區繁榮”已成為絕大多數公鏈項目的統一共識。因此,項目之爭,已不再局限于核心技術或客戶群之爭,而是上升到技術、經濟模式到社區架構、通證激勵等要素的全面對抗。作為絕大多數公鏈項目的“主傳動軸”,通證的獲取、流轉和銷毀,成了影響該賽道項目競爭的重要因素。
縱觀整個賽道,我們不難發現,扮演打包和記賬角色的“礦工”,其重要性已無可取代。而作為礦工,關注點莫過于挖礦的回報率與盈利周期。盡管我們不能斷言,回本周期短、回報率高的項目就一定是好項目,但也不可忽視這些項目的競爭優勢。
當下,伴隨共識的趨同,經典的POW共識已不再是獲取通證的唯一方式,新興的POOS以及以此為基礎所衍生的DPoS、APOS等不同共識則大大拓展了“挖礦”的內涵,也推動硬件從傳統實體礦機向“云挖礦”形式轉變。因此,我們希望以挖礦和礦機這一細分領域著手,分析比較當前分布式存儲賽道中的主要項目在此范疇內的現狀和前景。

數據來源:CoinMarketCap? ?市值時間節點:北京時間2020年12月11日?22:00
由此不難發現,在挖礦和礦機細分領域中,盡管始發時間、設計理念不同,但各個項目已呈現出“百花齊放”格局。這一現狀,不僅展示了當前挖礦賽道蓬勃的生命力,也表明新入局的礦工,在項目選擇上面臨一定的門檻和障礙。在本文中,我們試圖梳理在回本周期、年化收益這兩條礦工所關注的重要標準下各個項目的表現情況,借此在該細分領域簡單比較各個項目在此中的長處與短板;同時粗略估計當前該賽道下主流項目挖礦的收益情況。
二、明星項目和明星礦機的投資收益分析
自然而言,我們進入到第二個話題:怎么投資礦機,收益率怎么樣?
盡管基于PoS所發展的一系列新型共識已逐漸成為當前區塊鏈項目的主流,但不可否認,經典的PoW仍占有相當的優勢。相比于PoS通證的靈活性,基于PoW的通證在“挖礦”方面仍依賴傳統礦機。
就傳統挖礦而言,礦工成本主要由兩部分組成:挖礦過程中的電力消耗和購買礦機成本。目前,分布式存儲賽道中,由于以Sia、IPFS為代表的項目仍立足于傳統礦機,因此,對這些項目做簡要的分析將有助于我們理解傳統礦機所需要的挖礦成本和由此帶來的收益。
(一)Filecoin受通證價格等客觀因素影響,三個季度內難以回本
相對于運營時間漫長的Sia,新銳的Filecoin面臨更大的落差。作為2020年話題度最高的項目,IPFS最初便提出了一個頗具野心的目標:以全新的IPFS協議取代目前在互聯網領域中已良好運行了21年,至今依舊是萬維網數據通信基礎的HTTP協議。
Filecoin的大膽技術革新令其在2020年主網上線之前熱度高漲。但令人遺憾的是,在Filecoin主網上線之后,其通證Filecoin的價格卻低于投資者預期,而上線交易之后的Token價急跌更是令投資人大跌眼鏡。至今,Filecoin仍停留在29USD一線,直教人望Token興嘆。
盡管目前Filecoin的礦機賽道玩家不多,但也并非像Siacoin一樣形成唯Obelisk馬首是瞻的局面。就目前而言,Filecoin礦機這一賽道中,已有包括先河、石榴、1475、原力區等不同廠商的不同型號選手參賽。而這些選手,也各有所長。例如原力區和儲訊相對擅長于存儲;星際大陸、星際聯盟和原力區在運維方向實力強勁;先河則在算法上表現較為突出。
報告:到2026年區塊鏈市場規模將達到674億美元:金色財經報道,根據一份新的市場研究報告,按平臺和服務)、提供商、類型劃分的區塊鏈市場,?組織規模、應用領域和地區,預計區塊鏈市場規模將從2021年的49億美元增長到2026年的 674億美元,復合年增長率預測為68.4%。促成區塊鏈市場高增長率的主要驅動因素包括風險投資資金和對區塊鏈技術的投資增加,區塊鏈解決方案在銀行和網絡安全中的廣泛使用,區塊鏈解決方案在支付、智能合約和數字身份方面的廣泛采用,和不斷增加的政府舉措。[2022/7/5 1:52:20]
但在礦機方向上,Filecoin卻并不能稱之為是一個成功的項目。在Filecoin概念剛剛推向大眾的時候,項目本身的遠景和雄心曾經吸引了大量的礦商投入礦機研發的行列,市場上也一度出現了“百家爭鳴”的盛況。但這一情形并未持續太久,在Filecoin主網上線之后,由于其嚴苛的驗證和嚴厲的礦工懲罰,很多購買了存儲機進行挖礦的用戶卻并不能從中盈利,甚至出現“越挖越虧”的困局。
面對礦機收益不如預期的困境,頭部礦商被迫改變了營銷策略——大量頭部礦商選擇了停止自主研發,而轉而向更大的廠商,包括聯想、浪潮等尋求定制。而隨后在存儲技術也尋求專精于云存儲的大廠的技術介入,例如阿里云或者七牛云等。
值得注意的一點是,根據Filecoin的經濟模型,小礦工是非常難以挖到通證的,如果單獨作業,那么在算力不夠強的情況下,只能越挖越虧。因此,當前情況下,Filecoin賽道的礦工都傾向于大集群作業,將算力統合起來進行挖掘——這一邏輯和比特幣的“礦池”相仿。而當存儲容量擴張到50-60PB這樣一個大當量的時候,對于所有的礦商而言都是一個新的嚴峻挑戰。
由于大存儲對于集群和礦商而言都是一個比較大的挑戰,那么對于小散戶而言,如果單打獨斗,則更是難以進入挖礦這一賽道了。也正有鑒于此,在Filecoin業界中,目前礦機已經完全停止了2C的銷售;而在2B端,目前頭部礦商基本上都依靠大廠商進行硬件和技術的雙料支持。

基于商業機密屬性,很多礦機生產商并不對外公開礦機詳細參數,這使得信息獲取困難。目前,我們所能夠了解的只有諸如星際聯盟和1475這樣的采用了七牛云存儲服務的頭部礦商。而在我們的模擬計算中,也將采用七牛云存儲的標準配置,對Filecoin礦機可能達到的收益做一個粗略估算。
但是,對于想在Filecoin挖礦賽道上掘金的新投資者而言,購買礦機并非理性選擇。更何況,由于Filecoin社區官方錯誤運營策略引起的Filecoin通證質押嚴重不足,導致許多礦機無法正常開機,一直處于閑置狀態。迫不得已,許多礦商只好“化整為零”,將有效算力(也就是存儲空間)進行出售。
Filecoin運營初期,礦商主要出售“存儲空間”概念。由于Filecoin通證的分配基于存儲空間大小,因此,礦商可以根據每T的產出對于存儲空間進行定價。這樣的話,礦工實際上相當于花錢購買存儲空間(算力),而把諸如業務托管、礦機運維等等工作都交給了集群維護方來管理。
這種出售方式的存在,與出售空間期貨沒有本質區別——當公司將算力出售給客戶時,這些算力并非立等可取。根據Filecoin機制,數據上傳和保存必須經過一個封裝流程,這個流程長度不定,但總時長需要消耗超三十天時間。在此期間,Filecoin鏈上的Gas費用——也即上傳成本,會出現變化且難以預估。這就使得礦商封裝扇區工作實質上變成了風險投資。若封裝過快,且Gas費用過高,那么無疑將導致礦商虧損;若封裝過慢,又無法滿足客戶的需求。
為解決這一難題,礦商開始采取變通措施——提前將存儲扇區進行封裝打包,再定價賣給客戶。這就相當于礦商預支了Gas費用,然后在出售的扇區中調整和折算。這種方式的好處顯而易見,既將簡化了存儲空間的交易程序,實現由期貨向現貨的轉移,也大幅降低了交易的風險。有業內人士透露,此種算力出售方式,可為礦工帶來50%至60%的年化收益。
同時我們也留意到,Filecoin主網上線之后,走勢卻不盡人意——在它的生態系中,Filecoin募集了大量的礦工并集中了非常龐大的網上存儲空間,但目前真正廣泛使用這些空間的人卻寥寥無幾。這對于Filecoin的設計來說,屬于一個完全的頭腳錯位問題——對于其通證Filecoin而言,目前市場上的的關注主要仍然來自于其金融屬性。大多數的投資者仍然更關心作為項目通證的Filecoin能否實現快速拉盤,但并沒有能夠關注通證本身在社區中應該擔負的各個環節賦能和促使機制健康良性發展的過程。而這種頭重腳輕的錯位反過來也同樣影響了整個Filecoin社區的運轉——其存儲空間中以垃圾信息居多。
報告:Ryuk運營者從勒索軟件攻擊中獲利超過1.5億美元比特幣:在世界各地的公司遭到入侵后,據稱Ryuk勒索軟件的運營者從贖金支付中賺取價值超過1.5億美元的比特幣。Advanced Intelligence和網絡安全公司HYAS在聯合報告中表示,他們追蹤了61個比特幣地址的付款情況,這些地址先前被認為與Ryuk勒索軟件攻擊有關。“Ryuk從代表勒索軟件受害者付款的一家著名經紀商那里收到大量的贖金。這些付款有時高達數百萬美元,通常在幾十萬美元的范圍內。”
報告稱,這些被勒索的資金被收集在持有賬戶中,轉移到洗錢服務機構,然后要么被輸送回犯罪市場,用于支付其他犯罪服務,要么在真正的加密貨幣交易所兌現。但這兩家公司發現奇怪的是,雖然其他勒索軟件集團通常使用鮮為人知的交易所套現資金,但Ryuk使用Binance和Huobi等兩個非常成熟的加密門戶網站上的賬戶將比特幣轉換成真正的法定貨幣,最有可能使用的是竊取的身份。(ZDNet)[2021/1/9 15:43:18]
此外,Filecoin項目過于嚴苛的驗證措施也會極大地影響礦工收入。根據Filecoin的經濟模型,當礦工因驗證問題受到懲罰時,系統不僅要扣除礦工所挖通證,而且還要扣除部分質押商品。由于懲罰過于嚴厲,礦工往往入不敷出,不賺反虧。由此可見,無論從經濟模型、社區運營還是通證功效來看,Filecoin都不是礦工的最佳選擇。甚至可以斷言,Filecoin是一個缺點頗多、設計有些不合理的項目。這也為向Filecoin項目投資提供了非常顯而易見的風險。
(二)Siacoin的低價格令礦工回本漫長而困難
Sia可能是目前該賽道中歷史最久、運營最成熟的項目。作為該項目中的通證,Siacoin至2021年1月15日的市場總值高達2.05億美元。
截至目前,Obelisk SC1仍然是唯一支持Siacoin挖礦的礦機。這種礦機的單一化能夠降低我們在估算Siacoin礦工平均收益的難度,但同時也需考慮另外兩個決定挖礦收益的兩大因素——浮動的Token價和電費。為了便于估算,我們以特定比價時點為基礎,并取平滑電價來計算,以求管中窺豹,透析礦工運營一二。
基于eBay公開信息,購買一臺功耗500W,算力550GH的Obelisk SC1礦機成本價格為1500美元(約合人民幣9820.05元),而按照平滑后的2020年上海居民民用電收費標準0.51元/度進行計算,使用一臺500W/550GH的Obelisk SC1礦機需要20040.92天(≈54.87年)才能夠完成回本:

Siacoin當前挖礦收益計算,
數據來源:https://wk588.com/jsq/siacoin
顯而易見,相比誕生僅11年的區塊鏈而言,55年的回本時間過于漫長。即使考慮礦場電價遠低于0.51元/度這個假設,Siacoin回本時間也不會有太大改觀——因為基于這個測算模型,礦機運費、場地和損耗等因素并未在列。因此,我們可以斷言,在目前狀況下,選擇Siacoin進行挖掘,很難說是一種明智的選擇。
究其原因,這主要與Siacoin通證價格的長期低迷有關。在2018年年初那一波相對狂熱的走勢之后,Siacoin陷入了長期價格低迷不振的橫盤走勢,盡管在最近(2021年1月15日16:00實時價格1SC=0.004522USD)迎來了一波上漲,但相距于2018年的歷史高點,仍然有著較大的價格差距。這樣來看,對于新進入Siacoin挖掘的礦工而言,依舊需要等待一段相對漫長而艱苦的寒冬季節。

Siacoin通證價格,圖源:CoinMarketCap
如果我們觀察Siacoin的長期走勢,不難發現最近三年Siacoin的價格長期保持盤整,波動幅度極小。究其原因,主要由以下兩大因素所影響:
第一、Sia項目技術變革相對保守,遠離主流大生態圈。從以太坊2.0的發展不難看出,跨越式發展往往會大幅推高通證價格,極大活躍通證交易的流動性。而另一方面,區塊鏈的競爭已經從單一公鏈擴展到了大型的鏈上生態圈,無論近期吸人眼球的以太坊還是波卡,都將鏈上生態玩得風生水起。反觀Sia,由于死守自身公鏈,完美錯過了生態圈繁榮發展的風口。
第二、Siacoin自我設置的通證產出量過低。Siacoin目前的出塊速度是每600秒出一個新塊,而每一個塊的產出量是30000Siacoin。高額的出通證產生速度極大的攤薄了挖出區塊的利潤,但囿于PoW的共識模式,礦機的生產成本卻幾乎沒有下降空間,此消彼長之下,Siacoin礦工的利潤被大幅攤薄。
報告:中國資本市場競爭力排名升至全球第5位:上海交通大學上海高級金融學院、上海證券交易所資本市場研究所聯合課題組6月18日發布《全球資本市場競爭力報告(2020)》。報告表示,中國資本市場競爭力在全球主要國家和地區的資本市場排名顯著上升,綜合排名大幅升至全球第5位。未來,中國資本市場將強化基礎性制度建設,重點推動以信息披露為核心的股票發行注冊制改革,提高上市公司質量,提升市場活躍度,實施高水平對外開放,加強投資者保護,努力建成規范、透明、開放、有活力、有韌性的資本市場,綜合競爭力和國際地位將進一步提升。(中證網)[2020/6/18]
2021年新年伊始,Siacoin經歷了一波通證價格的暴漲,于此相應,其全網算力也已經從2020年底的80多TH暴漲到了當前的8.875PH,相當于上翻了100倍。但前文已經提到,Siacoin當前的通證價格距離其高點——2018年時期差距仍然很大,而且全網算力的暴增使得礦工在投入不變的情形下收益被新加入的算力進一步擠占,因此,我們在此對于Siacoin的礦工收益仍然持謹慎觀望態度。

Siacoin當前算力,圖源:wk588
(三)PoS:礦工的新選擇
從上述分析不難發現,礦工對礦機的選擇,幾乎決定了項目的回本速度和項目成敗。因此,礦機的選擇,是礦工邁出的第一步。
對于多數新晉礦工而言,是否需要選擇依靠礦機的項目是在其調研早期就會面臨的重大選擇之一。實體礦機當前所遇到的問題,可能包括沉沒成本、高耗能、硬件折舊等方面所帶來的的高昂前中期投入,而這種高昂的投入實質上將令許多新手礦工望而卻步。
但并非所有的鏈上項目都需要依賴實體礦機,以“通證質押”和“分紅”為主要投入和產出手段的PoS共識為礦工群體提供了另外的一條可行路徑——礦工只需要在鏈上質押通證作為投入,就能夠定期享受到“分紅”所獲得的收益。PoS的生態邏輯使得礦工得以擺脫傳統礦機這一硬件束縛,以更低的門檻投入到挖礦中去。
隨著技術的發展,更多的新項目也采用了PoS作為其社區的共識基礎。這些項目由于免除了礦機所帶來的必然的沉沒成本因此同樣受到關注,那么在這些以PoS機制為共識的中,哪些可能會展現去比較好的收益前景呢?這就是我們在下文中需要分析的內容。
在目前,在分布式存儲的賽道上,采用PoS或者類PoS共識作為項目中,比較有代表性的項目包括DxChain、Epik、Crust、Arweave等等。項目的繁雜在一方面的確是PoS共識發展和壯大的信號,但同時,對于礦工,尤其是新晉礦工而言,如何快速地選擇收益較高的作品則會變得更難。而我們希望就對各個代表性的PoS項目礦工收益情況做一個簡單的梳理和比較。
(1)當前DxChain 項目盈利情況較好,擁有較快的回本周期
DxChain是近期內受關注度相對較高的分布式存儲項目之一,該項目的初衷是作為一個大數據分析和機器學習的網絡,和商業數據的智能分析平臺為用戶提供幫助。在其商業邏輯下,礦工的角色定位與前述利用傳統礦機實現通證挖掘的項目有所不同,除了DPoS質押挖礦,未來DxChain的存儲礦工還將被鼓勵貢獻其閑置的存儲資源來提供數據存儲服務。
以下將重點講解DxChain的DPoS質押挖礦,在當前DxChain的語境中,“礦工”被稱為“存儲礦機節點”,可通過參與通證質押,并從質押的分紅中獲得收益。根據DxChain的數據來看,在其第一年投入的質押通證總量為120億DX的情況下,總體年收益率(總獎金池/節點質押總量)大約在8.33%左右。目前DX DPOS的質押總量即將達到150億DX,也就意味著質押總獎金池即將增加至13.5億DX,由此初步計算DX總體年收益率也將隨之增加至9%。

?數據來源:DxChain?Network
由上圖中的表格我們可以看出,在DPoS共識下,礦工將會非常容易地發現一個問題——那就是隨著質押節點數量的增加,礦工的總體年收益率是在逐漸攤薄的。這一點在直覺上會構成一個頗為艱難的悖論——如果DxChain通證價值升高有利可圖,必然參與質押的節點會大量涌入,從而攤薄礦工收益并且對整個社區產生一定的負向影響。因此,如何在DPoS的語境下維持礦工的收益,對沖攤薄的風險使社區所必須要考慮的問題之一。
DxChain在DPoS質押挖礦中還提出了“超級節點”的概念,“超級節點”在DxChain中指代表存儲礦機節點進行打包出塊的特殊節點,在整個網絡中超級節點的個數會根據候選節點的數量做跳躍式階梯型調整。超級節點相對于普通節點而言,其主機有著更好的性能和通訊帶寬,超級節點由程序從所有候選節點中隨機選出,候選節點獲得的總票數越多意味著權重越大,被選中的概率也就越大。而超級節點當選之后,會按照其獎勵分配承諾將收益分配給為其投票的存儲礦機節點。
動態 | 人民創投區塊鏈研究院報告:區塊鏈技術日漸成熟 將與實體經濟深度融合:人民創投區塊鏈研究院《中國區塊鏈政策現狀及趨勢分析報告》今日發布。報告指出,通過技術手段來改變監管方式,提高監管效率,降低監管成本,提升自身的服務能力,基于區塊鏈的規制系統將有助于提高監管的有效性,用區塊鏈技術來監管區塊鏈市場是未來監管的新方向。區塊鏈行業監管將在市場、信息管理、服務提供、加密貨幣管理等層面進一步完善,并呈現出規范化、全面化發展趨勢。該報告最后總結表示,未來,隨著區塊鏈技術的成熟,該技術將與實體經濟深度融合,將進一步改變市場結構,重塑商業業態,帶有共識機制和智能合約技術的新生態系統與現有產業融合,升級現有的商業模式、業務模式、及監管模式。[2019/9/5]
現在我們可以簡要估算一下超級節點所帶來的的收益了,假設選舉出的超級節點數是固定的,而DxChain的出塊速度則是固定的每8秒出一塊。由于已知DxChain每年的通證產出量是10億個,因此通過簡單的計算可以得知每塊的通證產出量量大約是254DX,而每天每個超級節點打包的次數平均為514次,在此估算下每個超級節點一日可以獲得的收入為123,940DX。
根據DxChain官方提供的數據,我們假設超級節點將30%的收入分配給自身,并且該超級節點每個月成功當選20次(對于單個候選節點而言能當選超級節點的概率為2/3),則該超級節點的年收益率可以達到29.75%。需要注意的是,由于DxChain新經濟模型的規則調整,以上數據將隨節點個數、鏈上質押總數的變化而變化。
至于不參加超級節點競選的存儲礦機節點,同樣可以經由投票選舉超級節點而獲益——每一個競選成功的超級節點都會將其收入以分紅的形式向投票支持其競選的存儲節點分配其所得。而值得注意的是,以上的各項估算,都是在通證價格大體維持不變的前提下得出的結論,也即使說,如果其通證DX的價格上漲,那么無論鏈上的哪一個環節,都能夠展望更高的年化收益。
現在回到我們最開始所提到的那一點,即通證價格是決定礦工的投入是否能夠取得良好的收益的關鍵。而從目前的的Token價走勢而言,DxChain雖然面臨著通證價格的波動,但是就其走勢來看,依然是一個比較正常的漲落范疇,尚未出現一蹶不振,傷及礦工及投資者信心的情況。

DxChain通證價格近期走勢,資料來源:CoinMarketCap
我們都知道,通證價格這個概念,本身是和項目的業務指標——包括可擴展性、業務痛點等更加基礎核心的屬性所息息相關的。而在這方面,我們認為DxChain的業務痛點——機器學習與人工智能,毫無疑問正好打在當前的一個大風口上。機器學習行業經過了漫長的理論和試驗的蟄伏期,目前已經在信貸風控、電商、智慧城市等各個新興的技術行業上嶄露頭角。
讓我們再重申一遍,在區塊鏈這個大語境中,通證價格同時擔負著原因和結果的二重角色——既是很大程度上當前項目運營情況的反應,同時又是為項目前景提供刺激或抑制的主因。就目前而言,如果單單考慮DxChain的通證價格波動,總體認為其還是能夠受到投資者的認可,因此,對于該項目在礦工這一細分領域的前景,總體來說相對還是比較樂觀的。
(2)Epik項目過于新銳,尚待較長時間的觀望
Epik Protocol是2020年出現的另一個黑馬項目,該項目旨在構建一個去中心化的知識圖譜協作網絡。相對于其競爭對手,Epik的“礦工”角色具有更加低的入門門檻和更加平易近人的算力獲得及累積方式。在Epik的語境中,存在類似于超級節點的“領域專家”角色,該角色具有上傳數據的權限,而礦工則為其提供免費的存儲服務來獲得算力。
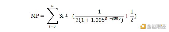
成為Epik礦工并不困難,任何人只需要繳納1000EPK(Epik Protocol通證)即可,礦工成功提供免費存儲的行為所獲得的算力(MP)由以下兩個參數決定:礦工第i個存儲訂單占用的扇區大小總和(Si)、礦工在第i的訂單所處于的成交順位(Di),其算力(MP)服從公式:

Epik的礦工憑借算力參與挖礦,其挖礦收益旨在七天之后之后開始發放,并分7天發放完成。根據我們的測算,假設EPK的買入通證價格為0.06USD,賣出通證價格為0.246USD并且長期不變,那么在投入10000美元的前提下,以每節點日均挖礦量16.2個區塊計算的話,日均收益為4.98%,僅僅需要30天即可實現回本。
但我們需要注意的是,前述的EPK挖礦的快速回本取決于一個重要條件,即EPK買入和賣出價之間將近4倍的差距。如果EPK的價格并沒有實現這種4倍的暴漲,而是基本持平于0.06USD的買入價的話,其日均收益將回落至1.21%。因此我們不難看出,對于EPK而言,其通證價格與日均收益服從線性的正相關關系,因此,EPK礦工收入的多少,可以說幾乎全由市場上EPK的價格所決定。
動態 | 歐洲刑警組織報告:加密貨幣沒有為恐怖襲擊提供資金:據CCN報道,歐洲刑警組織報告顯示,比特幣和類似的數字資產沒有被用于為最近發生在歐洲的任何恐怖襲擊提供資金。報告指出,恐怖主義團體使用加密貨幣只涉及低級交易,他們的主要資金仍來自傳統的銀行和匯款服務。[2018/9/19]
(3)Arweave的收益難以估測
Arweave是一個類似于IPFS的區塊鏈存儲項目,該項目同時也支持和兼容IPFS協議。相比于其他的分布式存儲項目而言,Arweave最大的不同在于其付費機制——相對于傳統的分布式存儲項目的定期支付租金的方式,Arweave采取了單次收費即可保證存儲在公鏈上永久有效。作為IPFS的激勵層之一,該項目于IPFS協議實現了向后兼容,這意味著IPFS的開發人員可以無縫地向Arweave進行過度,而我們也可以將其理解為IPFS協議的一種擴展。
Arweave采用的共識PoA是一種相對新穎的共識方式,該共識要求每次出新區塊的時候必須同時驗證一個隨機的歷史區塊。而僅僅只有驗證了該歷史區塊的節點才有進行PoW出塊的資格。該共識要求每個節點保存足夠多的區塊來參與PoW出塊,并且能夠在原PoW出塊的邏輯上實現電力和資源的節省。
但相對于其他項目來說,Arweave的項目方似乎對于礦工收益這樣的數據表現出更為審慎的態度,在我們關于這方面的調研中,官方的反饋相對較為沉默。因此我們難以對Arweave的礦工收益做出一個合理的預估,但就其通證走勢情況來看,AR經歷了一個大的波峰,當前正在面臨著低位的橫盤階段。照此看來,或許可以初步猜測,Arweave的礦工也許當前收益并非那么理想。
(4)Crust未來可期,但礦工收益缺少更多的數據進行精準評估
Crust是Polka生態體系下的分布式存儲項目,一向以跨鏈技術所見長的Polka在分布式存儲賽道上憑借Crust占有了一席之地。在共識上,Crust采用GPoS共識來試圖融合PoW的資源公平性及PoS的高性能,以達到博采兩家之長的效果。
GPoS是一種以“擔保”為核心概念的權益共識,以采取PoS共識的項目類似,Crust要求節點質押其通證CRU來爭奪區塊打包記賬的權利。但僅僅只有CRU的質押在該共識下是不夠的,Crust要求節點需要有一定數量的存儲資源作為擔保,并且要求必須有存儲資源為擔保的節點才有質押CRU的權利。
Crust自述引入擔保機制的核心在于擔保機制要求攻擊方同時擁有大數量的質押通證和足夠的網絡儲存資源,而同時具備這兩個條件將大大提高攻擊者的攻擊成本,從而提高整個公鏈的安全性;但同時,這種擔保人的額外加入也令Crust的礦工團隊變成了一個相對更加復雜的三元結構,除了傳統PoS類共識項目中的普通節點和擁有打包記賬權利的大節點之外,還有被稱為“擔保人”的特殊身份。擔保人提供CRU擔保質押,同時擔保各個節點擁有相應的存儲資源。在這種情況下,Crust礦工層的具體角色便有了驗證人、候選人、擔保人三種,其情況大體如下表所示:

?數據來源:Crust?Network
由于采用PoS類算法概念,在Crust的挖礦網絡中,傳統礦機地位不復存在,而是以“節點機”的概念取而代之。Crust的節點機配置大致和Kusama項目的節點機配置相當,其推薦配置為I7/64G RAM。但就使用方的反饋來看,I5/32G RAM的條件下,在Crust的性能表現和推薦配置總體相差不多。對于其節點機和儲存機的配置來說,Crust對于硬件的要求相對比較寬容。
對于Crust的整個生態圈布局而言,其更加看重的在于整個生態圈的繁榮和均衡發展。在Crust的項目語境下,礦工主要的扮演角色在于存儲空間的提供者。但由于提供閑置存儲空間本身就是一個低成本的活動,因而考慮到項目初期可能造成的礦工積壓和該情形對整個項目可能產生的連帶風險,Crust在項目的初期對礦工并沒有獎勵和分紅措施。
但這并不意味著該項目的礦工一定難以從中獲得收益——盡管在主網上線之前的CRU通證分配中,項目方并沒有為礦工預留其位置。但在項目上線后的第一年內,礦工能夠獲得總量500萬的CRU通證。而就長遠目標來看,Crust總共能夠釋放出5000萬的CRU,而其中有3000萬能夠由礦工來獲取。因此,Crust項目的礦工雖然無法在第一波分配中獲取收益,但長遠來看的話,收益仍然是可期的。
在Crust項目方的愿景中,該項目在業務完全展開之后,有望獲得大約500PB的總存儲量,而規模也大約能夠達到十億的量級。在此條件下,項目方估算屆時Crust的通證價格大約可以達到當前的100倍左右。而讓人印象深刻的一點在于,Crust對于這樣的遠景,態度相對是冷靜而謹慎的。團隊這種布局謹慎、不貪功冒進的姿態,對于相信其未來的穩步發展也頗為有利。
(5) Filestar比Filecoin收益更高,回本速度大大加快
如前文所述,由于通證價格的影響,Filecoin的礦工并未能夠按照當初的預想快速地達到收回成本、實現盈利的目標。但無論如何必須注意到的一點在于,Filecoin本身是一個技術和生態都相對成熟完善的項目,因此即便是其本身遭受挫折,在其框架下仍然有新的分叉項目能夠繼續開拓賽道。例如Filestar文曲星(以下簡稱Filestar),便是在Filecoin項目分叉出的另一個在分布式存儲中賽道中推進的參賽者。
從原生態的Filecoin項目分叉之后,Filestar致力于使用更低的挖礦門檻和更高的可擴展性來推動整個社區。一方面,Filestar取消了在Filecoin中使用的前置抵押,減少因為礦工投入過大和sector封裝有效信息不足所造成的的礦工停擺;另一方面,Filestar同時優化了Filecoin軟件的任務調度和零知識證明程序。這兩個方面的優化改進有效地降低了原先Filecoin的挖礦成本并提高了其效率。
如果我們對于Filestar的挖礦效率進行估算的話,由于減少了消耗資源和成本最大的前置抵押,因此礦工的回本速度大大加快。根據模擬數據,如果保持Filestar通證價格3.0USD計算的話,一臺封裝算力0.72T的礦機只需要127天即可回本。而Filestar的這個速度相比起之前的Filecoin超過一年的周期,已經大大加快了。
三、挖礦指南
對于新晉礦工而言,挖礦并非易事。從決定進場挖礦,到真正實現盈利,過程痛苦而漫長。盡管回本的過程漫長難熬,但與我們的習慣性思維相對,挖礦本身并不是一個學習門檻很高的行為。在任何一個加密資產社區中,通證的鑄造和產生都是其最底層、最基礎的經濟鏈條之一。因此,為了壯大礦工群體,如何降低挖礦門檻,也是社區核心開發者所必須考慮的問題之一。在當前加密資產百家爭鳴的情況下,無論是那種通證,采用何種共識模式,其挖礦方式都不會非常繁雜。此前,我們也分別從PoS和PoW兩個角度對比了兩種挖礦方式的優劣。為讓投資過程深入淺出,我們下面將以Sia和DxChain為例,講解礦工挖礦方法。
(一) 一切生產依托于礦機的Sia
Sia的挖取目前完全依賴于礦機Obelisk SC1。目前Obelisk SC1仍然支持對C端的銷售。而礦工用Obelisk礦機挖礦所需要的步驟也并不繁雜。首先,礦工需要先購買Obelisk礦機,然后登記自己的Siacoin錢包地址,并在礦機的后臺填寫礦池和礦工信息。之后等待礦機進行運轉之后,挖到的Siacoin就會自動存入礦工的錢包地址之中。總的來說,Siacoin的挖礦方式雖然傳統,但是流程比較簡便,即使從未有過挖礦經驗的新人礦工也可在簡單的指導下順利完成從部署礦機、注冊錢包地址到挖礦的全部流程。
除此之外,Sia同樣允許礦工對礦機的運行狀態和產出收益做一個全天候的監測,礦工只需要登錄礦池的主頁面,就能看到礦機運營的詳細情況和產生的收益明細。
(二)DxChain質押通證即可挖礦
相較PoW項目,以DxChain為代表的PoS項目則采用了“質押挖礦”模式。以DxChain為例,僅需在其官網上質押100萬DxChain通證(約合12775元人民幣),即可享有云礦機投票和挖礦權益。此條件下礦工收益主要來自兩部分:一部分為通證分紅,另一部分來源于礦工通過超級節點質押投票所產生的分紅。
相比于使用礦機挖礦的Siacoin,DxChain最大的不同點就在于取消了礦機挖礦,而改用質押通證的方式。盡管和傳統PoW模式加密資產相比,其質押分成的通證生產與分配邏輯并不是那么容易理解,但DxChain的挖礦同樣減少了購買、維護和更新礦機的流程,礦工的所有業務都可以在線上完成。兩相比較,我們認為,DxChain采取的以質押通證為實現方式的挖礦流程,無論從成本上,還是從整個挖礦流程的學習曲線上,都勝于類似于Siacoin、Filecoin等依賴傳統礦機實現通證產出的項目。
四、結論
從對于分布式存儲賽道中的各個參賽者的分析來說,總的看來,在挖礦收益的細分領域中,不同項目的礦工收益對比差距仍然很大。縱覽各個項目的不同表現,我們能夠得出的結論總共有以下兩點:
(一)、總的來說,PoW類共識有更高的沉沒成本,同時也會導致具有更低的收益。
在我們對于上述項目的綜合分析中,我們可以看到,PoS類與PoW類共識項目的成本支出完全不同。其中對于PoW項目來說,其成本的最大支出方向來源于礦機和挖礦時的資源耗費;而PoS類項目的主要支出則在于先期質押的通證。盡管無論對于哪種方式,成本中都有一個“資產凍結”的概念——表現在PoW中是礦機的購買,而在PoS中則是通證質押。但比較其成本而言,PoS共識無疑是占了優勢的,其主要原因有二:其一在于礦機成本的沉沒。相對于質押通證而言,礦機購買之后就無法按照原來的價格再換成資產;而被抵押的加密資產則可以在釋放之后回歸到投資者手中。而其二則是礦機作為一種實體機器,承擔著因技術進步而必須更新換代的壓力,而每次礦機的更新換代都會帶來沉沒成本的增長。而在PoS中,算力的提升藉由質押通證數量的增加而實現,而這種“質押”僅僅是通證鎖倉而已。換而言之,它是“非沉沒”的。因此在成本上,無疑PoS類的挖礦成本會更加低廉。
而我們需要反復提醒的一點是,這并不能說明采用了PoS共識的項目在礦工收益上就一定優于PoW類。因為無論對于以質押通證為本的PoS類項目,或是以礦機挖礦為生產方式的PoW類項目來說,與礦工收益這一點最息息相關的因素,在于通證的價格漲跌。盡管通證價格在短期內屬于不可控因素,但如果在長期來看的話,通證價格與該社區的技術、運營和生態環境都是息息相關的。因此,從這一層意義上來講的話,如果項目希望礦工能夠獲得良好的收益的話,終究是“打鐵還需自身硬”,只有項目的良好、健康的持續運轉才能夠實現上述的目標。
(二)、目前來看,以DxChain為代表的分布式存儲項目,是相對比較值得礦工進行長期穩健投資的項目
如果以當前時間作為節點,縱觀分布式存儲賽道上的各個項目,DxChain和Crust暫時展現出較好的發展的可行性。其中,DxChain又因為其清晰的收益邏輯、透明的數據而顯得更加適合于新礦工的進場。經過我們之前的分析,DxChain的優勢主要體現在:直擊業界痛點的產品邏輯、靠譜的團隊、PoS的共識選擇以及合理的經濟模型。但是值得注意的是,區塊鏈業界更新迭代快、技術發展多樣、投資風險高,因此,我們仍舊建議未來的“準礦工”在進場前充分了解并自行把控項目風險。但就目前的情況來說,對于上述兩個項目在挖礦中展現出的良好收益與未來繼續盈利的可能,仍舊是值得贊許的。
最后感謝?Moc?fund創始人盧磊對本文的貢獻。
本文為達瓴智庫公眾號原創,內容旨在信息傳遞,不構成任何投資建議。
作者:Akechi、尹舉新、阮玉敏丨達瓴智庫
注釋
1.根據2020年上海市居民用電收費標準,在0-3120度用電檔位,收費標準為峰時段0.617元/度,谷時段0.307元/度。以該收費標的復合峰、谷時段市場,得出的日均價格為0.51元/度。
2.事實上,853元/T的算力價格在Filecoin礦機中已經算極為低廉。根據微信公號“FIL瑯琊榜”公開的數據,Filecoin礦機算力的普遍價格在1000元/T以上。
3.Filecoin礦機回本估算中的FIL價格為做該估算時的實時價格,下同。
Reference?list
1.挖礦網官方網站?https://wk588.com/jsq/siacoin
2.Siacoin?price?today,?SC?marketcap,?chart,?and?info?|?CoinMarketCap
https://coinmarketcap.com/currencies/siacoin/
3.《火幣“新幣挖礦”項目Crust:Polkadot?后發優勢體現在大、跨、高、升》,鏈得得的朋友們https://www.chaindd.com/3404131.html
4.《Filecoin礦機最全投資寶典,防割韭菜必看!》,IPFS怪盜KIDDD
https://zhuanlan.zhihu.com/p/166382432
5.《Filecoin?挖礦的複利之美》,開源存儲
https://www.chainnews.com/zh-hant/articles/171278500766.htm
6.《Filecoin礦商史上最全測評,看完這篇誰也坑不了我》,區塊鏈大本營
https://blog.csdn.net/Blockchain_lemon/article/details/107328419
7.Crust白皮書
8.Epik白皮書
9.達瓴智庫公眾號,《分布式存儲世界里的逆行者?——DxChain的新式架構和生態理念》??https://mp.weixin.qq.com/s/BrJF1gib-h4dZQEcHhl7jg
10.DxChain公眾號,《致DxChain投資人的一封信》
https://mp.weixin.qq.com/s/44oyBmD6lBIkDfNnJ5dQtg
11.DxChain公眾號,《DxChain主網試運行線上發布會精華》
https://mp.weixin.qq.com/s/vglGdSprfRBr0G7PHzHJxw
12.DxChain公眾號,《駱駝大學第十二期|解讀DX新經濟模型》
https://mp.weixin.qq.com/s/IUi89FdQVvXNfpHmVGrRcg
13.DxChain公眾號,《DxChain有問必答精華2020/08/06》
https://mp.weixin.qq.com/s/rFW-Tx2iSA-S3t1QzOhYaw
14.DxChain公眾號,《駱駝大學第十四期|未來DX的生態落地》https://mp.weixin.qq.com/s/VS_haylCjRJFg0SG1SG8kw
15.DxChain官方網站https://www.dxchain.com/
16.IPFS項目白皮書、IPFS官方網站https://ipfs.io
17.Storj項目白皮書、Storj官方網站https://storj.io/
18.SiaCoin項目白皮書、SiaCoin官方網站https://sia.tech/
19.YottaCoin項目白皮書、YottaCoin官方網站https://www.yottachain.io/zh
20.BTT項目白皮書、BTT官方網站https://www.bittorrent.com/token/btt/
Tags:COINOINCOIFILCoinracerLitecoin TokenHelper Coinfil幣未來多少錢一枚
叮咚~附贈一個小劇場: “誒小姐,今天您來是想消費點什么呢,是龍頭股還是價值幣呢“Ripple要求認證SEC官員公開發言的7份視頻,遭美SEC拒絕:8月4日消息.
1900/1/1 0:00:00在過去一周中,許多DeFi幣的表現已經超過了比特幣和以太坊,例如Uniswap自2020年11月以來,一直處于大幅上升的趨勢中.
1900/1/1 0:00:00本周末至周一,DEX龍頭幣UNI及CEX平臺幣HT、OKB等紛紛上漲。UNI短線突破20美金,OKB短線突破6.1美元關口,HT續創新高突破7美元.
1900/1/1 0:00:00本文作者不是行業深度用戶,而是一位初創公司的創始人。在文中所說的深入研究前甚至不了解合約交易。通讀全文,譯者有理由相信作者僅從 Coinbase 買入比特幣,同時其在加密行業的投資也僅包括比特幣.
1900/1/1 0:00:002021年1月27日,國際清算銀行(BIS)發布了關于中央銀行數字貨幣(CBDC)的第三次調查結果,并以“準備好了,穩定,去嗎?(Ready, steady, go?)”作為標題.
1900/1/1 0:00:00多鏈格局下波卡與Filecoin強強聯合,疊加巨大網絡效應!從而構建萬鏈互聯,價值自由傳遞的 Web3.0生態!波卡中的跨鏈通信主要通過XCMP協議實現XCMP可以將插入波卡中繼鏈上不同的鏈連接.
1900/1/1 0:00:00