 BTC/HKD+1.96%
BTC/HKD+1.96% ETH/HKD+2.17%
ETH/HKD+2.17% LTC/HKD+2.34%
LTC/HKD+2.34% ADA/HKD+1.74%
ADA/HKD+1.74% SOL/HKD+0.48%
SOL/HKD+0.48% XRP/HKD+1.3%
XRP/HKD+1.3%品數學探真滴
筆記整理七年級下冊第四章第一節三角形
   
二、三角形內角和的應用
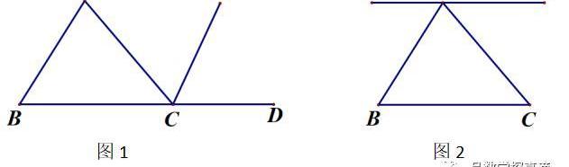
3、如圖3,猜想∠A、∠B、∠C、∠D之間的關系,并說明理由。
   
4、如圖4,猜想∠B和∠D之間的關系,并說明理由。
5、如圖5,猜想∠B和∠C之間的關系,并說明理由。
   
Coinshares連續第四周資金流入:金色財經報道,Coinshares連續第四周報告數字資產投資產品流入,上周總計 7600 萬美元。該公司在其每周報告中表示,年初至今的資金流入達到 2.3 億美元,突顯出 2023 年初投資者情緒的決定性變化。比特幣以 6900 萬美元的流入量主導需求,占本周總流量的 90%。該公司表示,盡管 unstaking 的清晰度有所提高,但以太坊的資金流入僅為 70 萬美元。[2023/2/7 11:51:09]
6、如圖6,猜想∠A和∠D之間的關系,并說明理由。
   
AllianceBlock將在第四季度前為倫敦證券交易所客戶提供DeFi橋:金色財經報道,AllianceBlock創始人Rachid Ajaja表示,到今年年底,將為倫敦證券交易所(LSEG)的機構客戶在傳統金融業(TradFi)和去中心化金融(DeFi)之間架起一座新的橋梁。該公司的“數據隧道”的最小可行化產品(MVP)已發布,功能齊全的v1.0有望在下個月發布。估計將在第3到第4季度看到LSEG的第一個用例。[2021/4/29 21:09:11]
三、直角三角形
7、如圖7,∠BAC=90°,AD⊥BC,找出圖中所有相等銳角并說明理由。
   
動態 | Ripple去年第四季度未向加密貨幣交易所出售XRP:金色財經報道,根據最新的XRP市場報告,Ripple公司在2019年第四季度大大減少了其銷售的XRP數量。其中,Ripple完全停止了在加密貨幣交易所銷售XRP。該公司通常在交易所以“編程”方式出售XRP,其價格為XRP每日總交易量的10個基點。[2020/1/24]
8、已知OC⊥OD,CE⊥AB,DF⊥AB,
如圖8,當線段OC,OD在線段AB的同側,請找出圖中所有相等銳角并說明理由。
如圖9,當線段OC,OD在線段AB的異側,請找出圖中所有相等銳角并說明理由。
   
動態 | 報告:區塊鏈概念等“其他類投資”位居中國民眾最愛投資理財產品第四位:據中新社消息,13日,度小滿金融聯合百度指數、北大光華—度小滿金融科技聯合實驗室發布的《2019年國民投資理財情緒指數報告》顯示,2019年中國民眾關注度最高的三大類投資理財產品分別為:股票、房地產、保險。包含數字化資產(比特幣等)、區塊鏈概念、商品期貨、外匯等在內的“其他類投資”位居中國民眾最愛的投資理財產品第四位,高于傳統的黃金和公募基金等投資品類。[2020/1/13]
未完待續······
●4.5 多邊形和圓的初步認識——疫情下的網絡教學●4.5《多邊形和圓的初步認識》習題講解●5.1《一元一次方程》新課與習題講解●5.1.2等式的基本性質●5.2求解一元一次方程——移項和去括號●5.2.3去分母解一元一次方程●5.3一元一次方程的應用——水箱變高了●5.3一元一次方程的應用——水箱變高了●5.3一元一次方程的應用——水箱變高了●5.4應用一元一次方程——打折銷售●5.4應用一元一次方程——打折銷售●5.4應用一元一次方程——打折銷售●5.5 應用一元一次方程——“希望工程”義演●5.6應用一元一次方程——追趕小明●5.6應用一元一次方程——追趕小明●5.6應用一元一次方程——追趕小明●6.1數據的收集●6.1數據的收集●6.1數據的收集與方程復習●6.2普查與抽樣調查●6.3 數據的表示第1課時扇形統計圖●6.3 數據的表示第2課時頻數直方圖●2018-2019學年北師版七年級數學上冊單元測試卷第五章一元一次方程●2018-2019學年北師版七年級數學上冊單元測試卷第五章一元一次方程●6.3 數據的表示●6.3數據的表示習題講解●6.4 統計圖的選擇●6.4 統計圖的選擇●6.4 統計圖的選擇習題講解●2022-2023學年第一學期期末試卷及答案●2022-2023學年第一學期期末試卷續●2022-2023學年第一學期七年級上冊數學期末評估卷及答案●2020年—2021年太原市知達常青藤中學七年級第一學期12月調研數學試卷及答案●2021-2022學年第一學期七年級上冊數學期末卷及答案●2021-2022學年第一學期七年級上冊數學期末卷及答案●2020-2021學年第一學期七年級上冊數學期末卷及答案●三角板的旋轉問題——角的計算●一元一次方程的等積変化問題●山西省2022-2023學年第一學期七年級上冊數學期末卷及答案●七上數軸上的運動問題●冪的運算●第一章整式的乘除
●1.1利用迭代功能構造中點三角形●1.2利用迭代功能畫方格●1.3利用迭代功能畫希爾賓斯基三角形●1.4利用迭代功能實現x到x+5的迭代●1.5利用迭代功能畫圓內接正n邊形●1.6利用迭代功能畫科克曲線和雪花曲線●1.7利用迭代功能進行分形樹的繪制(1)●1.7利用迭代功能進行分形樹的繪制(2)●2.1利用動畫功能制作描圖器●2.2利用動畫功能展示雷達掃描效果●2.3利用動畫功能展示圓的形成過程●2.4利用動畫功能展示橢圓的形成過程●2.5利用動畫功能展示迭代圖像的動畫效果●案例一:畫矩形●案例二:畫平行四邊形●案例三:畫線段垂直平分線●案例四:畫等腰三角形●案例五:畫相切的兩圓●案例六:畫等邊三角形●案例七:畫太陽、地球和月亮●案例八:畫太陽、地球和月亮●案例九:旋轉的大風車●案例十:點動成線、線動成面、面動成體●案例十一:系列按鈕制作圖案生成效果●案例十二:動態顏色的使用●案例十三:制作彩輪●案例十四:制作動畫彩輪●案例十五:制作含有三個參數的動畫彩輪●案例十六:制作調色板●案例十七:給圓柱體加上金屬色澤●案例十八:制作投硬幣游戲●案例十九:創建計數器工具●幾何畫板微視頻1:汽車追火車問題●幾何畫板微視頻2:追趕小明●幾何畫板微視頻3:折返相遇問題●幾何畫板微視頻4:等可能事件的概率——投硬幣試驗●幾何畫板微視頻5:等可能事件的概率——投骰子試驗●幾何畫板微視頻6:等可能事件的概率——設計轉盤游戲●分類討論思想在折返相遇問題的應用●線段中的運動問題
區塊鏈技術的發展已經越來越成熟,越來越多的企業開始關注并嘗試應用區塊鏈技術。比原公鏈是一種基于比原鏈技術的區塊鏈平臺,支持開發去中心化應用和智能合約.
1900/1/1 0:00:00加密市場最近已成為金融愛好者的核心投資項目之一。目前,在熱門NFT中,BoredApeYachtClub及其相關系列備受關注.
1900/1/1 0:00:00近日,從最新一期汽車目錄中獲取一組智己全新SUVLS6的申報圖。新車基于iO“原點”平臺打造的中大型純電轎跑SUV,預計將于2023年下半年發布。動力上,搭載雙電機四驅系統.
1900/1/1 0:00:00匿名幣、混幣器等是大家在當前案件偵辦中常遇到的資金追蹤“攔路虎”,而在區塊鏈中還有一些隱私保護方案,可能大家較少涉獵,在當前的區塊鏈相關案件中也還沒有明顯的表現,我們也希望通過這個專題拋磚引玉.
1900/1/1 0:00:00幣圈又出大事!據美聯社消息,幣圈大佬、Square前CTO、移動支付服務CashApp的創始人鮑勃·李,周二在美國舊金山街頭遇刺身亡,終年43歲.
1900/1/1 0:00:00談天 今日仍是陰晴不定的天氣,雨水走“散裝”隨意風,濕度大,體感悶。上海人害怕的“齁濕熱黃梅”終究還是上線了!明天受副熱帶高壓影響,全天無雨,但最高氣溫將達35℃,是近期最熱的一天,也是難得的安.
1900/1/1 0:00:00