BTC/HKD-4.65%
ETH/HKD-4.93%
LTC/HKD-2.24%
ADA/HKD-3.63%
SOL/HKD-3.76%
XRP/HKD-2.84%作者:Sid, IOSG Ventures
錢包的使用體驗真的不行了嗎
想象一下,你在Facebook上觀看每一個視頻、或對喜歡的帖子或圖片進行評論,都必須先登陸才可以操作,久而久之用戶將越來越少甚至不會再使用。
以今天區塊鏈的構建方式,從錢包層、互動層和結算層面,都存在著用戶體驗上的摩擦。
Hasu (Flashbots的strategy lead,也是Lido Finance的strategic advisor)描述了在與2-3個DeFi協議互動時使用錢包的一些不好的體驗。下圖對比了目前的狀態和理想狀態。

隨著許多游戲工作室開始開發鏈上游戲,以及開發者對開發社交應用程序的興趣增加,目前的基礎設施是否已經準備好接納下一個10億用戶?在用戶體驗不好的情況下,又該如何
增強錢包的用戶體驗和安全性,也有其他解決方案。我將其分為以下兩大類:
賬戶抽象錢包
使用底層EOA的錢包
MPC(多方計算錢包)類型
MultiSig多簽錢包
Argent推出利用賬戶抽象的自托管智能錢包Web Wallet:8月4日消息,智能合約錢包Argent宣布推出利用賬戶抽象的自托管智能錢包Web Wallet,允許用戶使用電子郵件地址創建網絡錢包,無需下載,也無需助記詞。[2023/8/4 16:18:40]
MPC
多方計算錢包(MPC)是指EOA的單一私鑰被分散成更小的碎片,并安全地存儲在三個不同的當事方之間。m/n或n/n當事方可以一起簽署交易,可以是用戶、設備和第三方服務。
分片的密鑰通常在鏈外存儲和計算,這可能不符合去中心化的精神,但是一種非常安全的管理錢包的方式。我們可以通過減少私鑰管理的障礙來提高用戶體驗的服務,如SSO可以建立在MPC錢包之上。例如Fireblocks,Anchorage等。
多簽錢包
多簽錢包是需要2個或更多的外部賬戶來簽署交易的智能合約錢包。多簽錢包對個人來說沒有太多的使用案例,但對組織來說是非常有效的。在預防單個用戶攜帶屬于多人的資金或資產逃跑的情況下,多簽名是目前最好的選擇。例如作為行業標桿的Gnosis Safe。
帳戶抽象錢包
帳戶抽象是由EIP-4337解鎖的一項新技術,它為Web3的用戶打開了新的視野。
數字資產管理平臺Safe發布賬戶抽象加速器計劃:7月27日消息,數字資產管理平臺Safe(原Gnosis Safe)發推稱,其與LongHashX合作推出了賬戶抽象加速器計劃,將通過推廣基于Safe構建的優秀產品來推動開發者和智能賬戶的發展。[2023/7/27 16:02:21]
讓我們在再來深入了解下帳戶抽象(AA)。

賬戶抽象及其重要性
要理解什么是賬戶抽象,我們需要先了解賬戶的含義。以太坊(和大多數其他基于EVM的鏈)有兩種類型的賬戶,分別是:
外部賬戶(Externally Owned Account, EOA)
合約賬戶(Contract Account, CA)
外部擁有的賬戶一般是指用戶擁有的錢包賬戶,合約賬戶是智能合約地址。在賬戶抽象中,我們主要談論的是外部賬戶EOA。
EOA的架構是使用一對密鑰來驗證交易: 公鑰和私鑰。他們被用來證明交易確實是由發件人簽署的,從而防止偽造。而私鑰是通過用戶在打開錢包時獲得的 "助記詞 "產生的。
Alchemy:以太坊賬戶抽象提案EIP-4337已在主網上部署:金色財經報道,Web3開發平臺Alchemy在社交媒體上宣布,以太坊賬戶抽象提案EIP-4337已在主網上部署,未來將為我們帶來實現的工具。1.無縫的用戶入職、2.更多的賬戶安全、3.無Gas費交易。
一個全新的web3體驗就在眼前。[2023/3/9 12:50:22]
私鑰用于簽署交易來確保交易是由賬戶所有者簽署的,并防止惡意交易。私鑰的所有權定義了EOA 的"自我托管 "。
這種架構一定程度上對受過Web3教育的用戶來說效果很好,但它存在很多問題。
錢包接入
創建EOA很簡單并且是免費的,但每一次交易EOA都必須消耗ETH。這就需要用戶與中心化交易所互動,或請人向他們的外部賬戶EOA發送ETH。
第二個問題是用戶需要保存助記詞。對于之前不了解這種行為的用戶,無法明白私鑰的重要性。
私鑰管理
用戶(EOA的擁有者)不知道私鑰的重要性,只知道不能和任何人透漏自己的助記詞。因此要讓用戶加入Web3的學習曲線門檻是相當高的,并且過程很繁瑣。
對ECDSA簽名的依賴
目前在以太坊上簽署交易的方法是使用ECDSA簽名。ECDSA簽名不具有量子對抗性(橢圓曲線Elliptic curve密碼學容易受到用于解決橢圓曲線上離散對數問題的改良型肖爾算法Shor’s algo的影響,而量子計算機可以輕松運行肖爾算法)。這雖然不是直接的影響,但考慮到以太坊未來的發展,我們需要思考未來可能出現的情況。
以太坊基金會啟動賬戶抽象相關項目資助活動,截止日期為3月31日:2月28日消息,以太坊基金會宣布在2023年2月27日至3月31日啟動新一輪資助,以鼓勵圍繞賬戶抽象和支持它的必要基礎設施進行開發、研究和教育,包括webauthn交易驗證、賬戶抽象區塊瀏覽器、捆綁器、p2p消息傳遞、定序器RPC等。
據悉,本輪贈款的目的是促進和啟動多個與賬戶抽象相關的新項目。單個提案的預算上限為50,000美元,項目可以申請標準贈款計劃以獲得額外資金。[2023/2/28 12:33:27]
行動 = 交易
今天,用戶在鏈上的任何行動都被認為是一個交易。因此當用戶必須執行多個行為來完成交易時,對用戶來說是非常低效率的。例如,如果用戶要玩一個Web3游戲,當游戲中的每個行為都需要一個交易簽名時,這將扼殺游戲的趣味性。
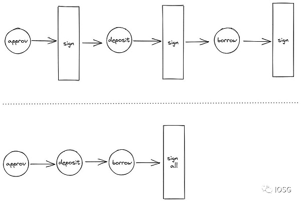
為什么不選擇現有的智能合約錢包?
從用戶的角度來看,智能合約錢包可以通過新增EOA的私鑰管理,然后增加幫助gas補貼的中繼器來完成這一切。流程如下圖所示。

這個系統的問題是: EOA也仍然需要私鑰管理。雖然這些私鑰可以被安全地管理,但仍然需要依賴第三方服務MPC/多簽名服務提供者。Web3Auth使用MPC系統,而Safe Wallet使用多簽名模式。對于gas補貼,也有對中繼器的外部依賴(例如Biconomy提供的那樣)。
Andre Cronje:Fantom明年將重點發展Gas貨幣化、Gas補貼、賬戶抽象等:12月26日消息,Fantom創始人Andre Cronje今日公開了《致Fantom基金會團隊的信》,其中提及2023年Fantom的計劃核心重點。據介紹,明年Fantom重點需要放在垂直開發人員上,總體目標將是為dapp開發人員創造一個可持續發展的環境,以與其他公鏈區別開來。
核心重點將包括Gas貨幣化、Gas補貼、賬戶抽象、Gas費的經濟抽象、新中間件(Fantom虛擬機,新存儲機制)、優化吞吐量的硬件限制(Pebble DB、平面存儲等)、針對新構建者和非區塊鏈開發人員更新文檔和培訓、及時公開財務狀況、為dapp團隊提供資金和資助機會等等。此外,Andre還在信中提到,自己已被正式提名并接受Fantom基金會和Fantom Operations董事會成員的職位。[2022/12/26 22:08:19]
使用這些內置于區塊鏈本身的執行層總是比依賴第三方要好,因為其他的可能會產生故障。
未來走向
隨著Vitalik和團隊對以太坊整體上廢止EOAs的動向說得非常清楚,所有目前正在實施ERC-4337的錢包將失去其目前比EOAs更好的獨特價值主張。
說到這里,在這兩年里(自賬戶抽象首次提出以來),實現了ERC-4337的錢包將聚集分布,在用戶使用區塊鏈時,錢包是粘性產品。
雖然以太坊的最終目標是將EOAs從以太坊網絡中移除,但擺脫EOAs并不像人們想象的那樣容易。這其中有一定的權衡。
由于只有ERC-4337的存在,不可能將現有的EOAs轉換為AA錢包
Gas效率低下(一個基本的UserOperation需要4.2萬,而一個基本交易需要2.1萬)
從協議內抗審查技術中獲益較少,如crLists(強制驗證者將交易添加到mempool的區塊中的機制),該機制針對交易會錯過用戶操作。(crLists不適用于UserOperation mempool)。
以太坊基金會認識到了這些權衡,并提出了一個可能的解決方案來解決這些問題。
將EOA轉換為合約賬戶
需要允許EOAs執行一個設置其合約代碼的操作。一旦一個EOA這樣做,轉變是不可逆的;從那時起,該賬戶將只作為一個智能合約錢包發揮作用。因此必須創建一個新的EIP。方案中提議創建一個名為 "AUTHUSURP "的函數。(參考閱讀:EIP:5003)

錢包類型對比
了解了賬戶抽象是如何工作的,它能解決什么問題,以及它與其他類型錢包的區別。我們可以預測到賬戶抽象將在以下生態系統中獲勝。
游戲:
隨著對區塊鏈游戲的預期將在2023年走強,AA錢包將在區塊鏈游戲的成功中發揮舉足輕重的作用。鏈上游戲的用戶體驗將通過Session Keys得到極大的改善。Session Keys允許用戶根據一組參數預先批準一個應用程序的交易:例如一個定量的持續時間,最大的gas數量,一個特定代幣的最大交易量,或一個特定合約的特定功能。用戶將能夠使用一些基本條款來預先批準他們的會話,再點擊開始,然后玩游戲,以此避免不斷地被他們的錢包轟炸,讓你確認此交易。他們只需要在游戲脫機或交換代幣時擔心區塊鏈的部分。Sequence等錢包供應商已經在與主要的區塊鏈游戲一起做這件事來改善游戲者的體驗。
DeFi:
DeFi用戶在使用DeFi協議時的體驗感很差。因為每次用戶想在永續期貨平臺上完成一筆交易,都需要簽署兩筆交易,并支付兩次Gas費用。而在這段時間內,交易價格可能會發生變化。
高頻交易者在使用賬戶抽象錢包時,可以有更快的速度和更好的體驗來完成交易。賬戶抽象允許在單一交易中借助捆綁交易實現dApp之間的互操作。例如現在我可以將ETH存入Aave,并將收到的AETH換成USDC,這些都會在一次交易中完成。捆綁交易和會話密鑰將幫助現有的DeFi用戶獲得更好的體驗;基于SDK的方法將不會被DeFi采用,因為DeFi是一個私人的和意向性很強的用例,因此我們需要熟悉用戶的需求,不能脫離用戶。通常DeFi的用戶也很熟悉鏈上的工作原理。

Web3社交(DeSoc)
Web3社交在2023年有很強的敘事。
隨著下一個百萬用戶將通過DeSoc和NFTs涌入加密貨幣市場,這會是市場在關注的最大趨勢之一。也是建設者們的目標。帳戶抽象可以通過SDK以最小的摩擦點幫助用戶入駐,并且可能有一些初使用的Gas贊助進入Paymaster來幫助用戶有一個流暢的體驗,可以使用 Session Keys與社交dApps進行交互。
綜上所述基于SDK的賬戶抽象化方法對于有更多消費者的用例是很好的,例如DeSoc、Web3游戲。同時獨立錢包在DeFi領域也會有更多的應用方向。
IOSG
個人專欄
閱讀更多
金色財經
金色早8點
澎湃新聞
Odaily星球日報
Arcane Labs
深潮TechFlow
歐科云鏈
鏈得得
MarsBit
BTCStudy
來源: 姚前,中國金融雜志為了避免可能的商業利益沖突,數據托管的較好方案是:要么將數據托管在可信的非營利性公共機構,要么將數據托管在基于可信技術的Web3.0平臺.
1900/1/1 0:00:002022年,加密行業牛市結束,寒冬來臨。在這一年中,主流資產都迎來了一次又一次的腰斬,DeFi、NFT、GameFi,沒有一個賽道可以獨善其身,FTX、3AC、Voyager、BlockFi、T.
1900/1/1 0:00:002017年,首次幣發行(ICO,Initial Coin Offering,也稱首次代幣發售、區塊鏈眾籌,是用區塊鏈把使用權和加密貨幣合二為一.
1900/1/1 0:00:00撰文:0xLaughing,律動 BlockBeats Memeland 初始世界觀2023 年伊始.
1900/1/1 0:00:00編輯 | Carol 吳說區塊鏈DCG 集團主要投資了以下幾塊業務:1、Grayscale(灰度),全球最大的比特幣基金,持有最多比特幣的機構;2、Genesis.
1900/1/1 0:00:00當地時間16日13時,首爾市政府正式啟動元宇宙服務,構建經濟、教育、稅務和行政等部門的行政服務平臺.
1900/1/1 0:00:00