BTC/HKD-1.85%
ETH/HKD-2.32%
LTC/HKD-1.78%
ADA/HKD-2.66%
SOL/HKD-1.88%
XRP/HKD-1.55%風險平價模型
在傳統市場里,風險平價模型(Risk Parity)試圖通過將資金分配到更廣泛的類別,如股票、政府債券、信貸相關證券和通脹對沖(包括實物資產、商品、房地產和通脹保值債券)等,來均衡風險,同時通過金融杠桿作用實現收益最大化。據Bridgewater Associates的首席投資官Bob Prince的說法,傳統風險平價投資組合的定義參數是不相關的資產、低股票風險和被動管理。
關于投資,有一條廣為人知的投資理念是不要把所有的雞蛋放在一個籃子里。那么,如果有人建議你把90%以上的雞蛋放在一個籃子里,你會認為這樣就足夠分散投資了嗎?可是很多傳統的60%的股票和40%的債券的平衡投資組合的人都是這樣做的,盡管60/40的投資組合并不能提供真正的風險分散。
前幣安高管和投資團隊宣布推出1億美元風險基金Old Fashion Research:5月26日消息,Old Fashion Research(OFR)宣布推出1億美元投資基金。OFR是一支多策略的區塊鏈投資基金,團隊成員由前幣安高管和投資團隊于2021年7月創立,創始合伙人包括前幣安戰略投資并購副總裁Ling Zhang,前企業發展部負責人Wayne Fu,和前Binance Labs投資總監和Binance Launchpad負責人 Xin Jiang。
OFR通過孵化、投資、并購等多種策略手段賦能和支持全球各地的區塊鏈項目和創業者。OFR的投資人包括韓國上市游戲公司Wemade旗下區塊鏈游戲平臺Wemix, 前幣安CFO周瑋,,滴滴天使投資人王剛等國內外傳統投資基金、家族辦公室和個人天使投資人。[2022/5/26 3:43:17]

聲音 | 比特幣咨詢公司創始人:使用比特幣的最大風險就是承擔的風險不足:比特幣咨詢公司Bitcoin Advisory創始人Pierre Rochard連發多條推特支持比特幣,“看看歷史上的夏普比率(客觀數據),你使用比特幣的最大風險就是承擔的風險不足。比特幣是最好的現金。”[2019/10/17]
來源:
https://en.wikipedia.org/wiki/Risk_parity
為什么會這樣呢,因為“蛋”(風險)的大小是不一樣的。股票的風險是債券的9倍左右。假設股票和債券收益率有每年的標準差分別為15%和5%。那么,從方差來看,股票的風險是債券的9倍。假設我們將6個股票 "蛋 "和4個債券 "蛋 "分別放在兩個籃子里。股票的風險對總體風險的貢獻是93%。
公告 | 火幣將進行BTM主網切換 可能對個人操作產生風險:根據火幣公告,火幣全球站支持BTM的主網切換,切換工作預計將在9月底前完成。可能對個人操作產生一定風險。建議用戶提前將BTM充值到火幣全球站。[2018/8/29]
雖然我們的雞蛋比喻可能看起來很簡單,但它與實際情況相差不遠。例如,從1983年到2004年,羅素1000指數的超額收益率年化波動率為15.1%,雷曼綜合債券指數的年化波動率為4.6%,而兩者之間的相關性為0.2。由此可見,60/40的投資組合在資本配置上可能看起來是平衡的,但從風險配置的角度來看,它是高度集中的。

動態 | 英國央行警告金融機構注意加密資產相關風險:據coindesk報道,英國央行審慎監管局(PRA)副行長Sam Woods周四在一封信函中寫道,銀行,保險公司和投資公司應采取措施保護自己免受市場波動和加密空間中潛在的風險。Woods表示,在短短的歷史中,加密資產表現出高價格波動性和相對不流動性。加密資產也引起了與不當行為和與市場完整性有關的擔憂,許多人很容易面臨欺詐和操縱,以及洗錢和恐怖融資的風險。加入與加密資產相關的活動也可能會增加聲譽風險。該函還稱,金融機構應采取措施盡量減少加密資產交易帶來的任何可能的風險,包括需要給出由PRA批準的高級(保險)管理職能審計師審查并授權處理新資產的風險評估框架。據FinanceMagnates,對此,英國加密貨幣自律機構CryptoUK主席Iqbal Gandham回應稱,英國大多數加密貨幣公司已經復制了傳統金融服務公司所使用的合規模式,Woods的要求與CryptoUK一直以來的要求相一致。[2018/6/28]
模型的計算
事實上風險平價的實際推導過程蘊含著不同資產的長期表現與復雜的數學求解,它基于一個長期觀察的假設,即大類資產的Sharpe Ratio (單位風險的收益) 是接近一致的。如股票、債券、黃金及其他大宗商品1971-2009年的Sharpe Ratio都在0.3左右。Bitcoin的5年滾動Sharpe ratio為1.25——從這個角度來看看未來數字貨幣興許將迎來更低的收益或更高的風險。

來源:Messari
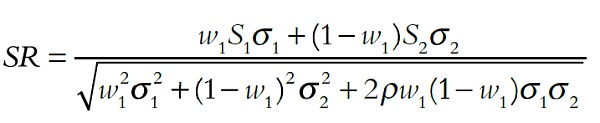
風險平價的本質實際是假設各類資產的Sharpe Ratio長期趨于一致去尋找投資組合的長期Sharpe Ratio的最大化。我們不妨看一個最簡單的例子,假設兩個資產的Sharpe Ratio分別是S1與S2,他們的波動率分別是σ1與σ2,他們的相關性為ρ。兩種資產的風險貢獻分別為RC1與RC2,投資策略組合的Sharpe Ratio為SR。



來源:Newbloc 資產組合的Sharpe Ratio及其導數
通過對資產組合的Sharpe Ratio(藍色),及其導數(紅色)分析和運算可知在當前的假設下兩種資產的資金配比分別為以下比例時產生的Sharpe Ratio是最大的。

在數字貨幣市場中的實踐
Newbloc, 基于AI的量化交易系統,通過機器學習,挖掘市場特征,通過歷史和實時數據訓練交易決策引擎構建了包括因子、套利、對沖、趨勢四大類幾十種子策略。基于Newbloc資管團隊在傳統金融市場中的風險平價模型的研究,我們將其運用在復合類策略的構建與優化之中,旨在獲得最大的單位風險收益。以下是子策略自2019年1月1日以來的表現。可以看到從單策略長期的表現來看最好的Sharpe Ratio是2.61, 最好的最大回撤為16%。通過平價模型優化的策略組合年化為132%,最大回撤可以控制在10%以內。

來源:Newbloc

文 / New Bloc CIO 馬潔
Tags:RATARPRATIOSHAPIRATE價格Magikarp FinanceSociety of Galactic ExplorationDollarBalance Share
金色財經訊,自3月12日加密貨幣市場暴跌以來,多數加密貨幣出現巨幅波動,在此期間,穩定在市場中的需求大漲.
1900/1/1 0:00:001.減半后多種機型突破關機價 S9逐步永久退出網絡比特幣已于北京時間5月12日03:23在區塊高度630000完成區塊獎勵減半,播報方為AntPool.
1900/1/1 0:00:005月27日,社區流傳一份詹克團簽字的文件“解除勞動關系通知”。文件顯示,北京比特大陸科技有限公司決定解除與比特大陸CFO劉路遙的勞動關系和勞動合同.
1900/1/1 0:00:00Overview 概述 Staking 幾乎是區塊鏈世界最特殊的產品,它提供了可預期的現金流和相對固定的收益。即便這樣類似于傳統金融市場債券的產品,背后依然隱藏了容易被忽視的風險.
1900/1/1 0:00:00進入2020年以來,DeFi(去中心化金融)的發展可謂是一波三折。年初項目鎖倉資金一路飆升,在2月中旬一度突破12億美金創造歷史新高,然而在312暴跌以及MakerDAO等DeFi借貸項目清算事.
1900/1/1 0:00:00金色財經 · 直播主辦的《 幣圈 “后浪” 仙女直播周》 ,第一期第五位“后浪”仙女野花說創始人葉子,在今天的直播中分享了比特幣與全球經濟的相關性,減半行情的基本面分析以及個人對行業觀點的分享.
1900/1/1 0:00:00