BTC/HKD+1.16%
ETH/HKD+1.36%
LTC/HKD+3.33%
ADA/HKD+1.9%
SOL/HKD-0.31%
XRP/HKD+0.91%北京時間9月15日14時42分左右,以太坊正式完成合并。以太坊在區塊高度15537393觸發合并機制,并產出首個PoS區塊,高度為15537394,以太坊共識正式從PoW轉為PoS機制。
以太坊進入后合并時代,你對以太坊2.0了解多少?本文用15個概念帶你深入了解它。
信標鏈向以太坊1.0引入了權益證明,與以太坊1.0并行運行。信標鏈也被稱為協調層。
信標鏈具有一下作用:
分配驗證者的職責
確認檢查點
執行協議級隨機數字生成器(RNG)
促進信標鏈運行
投票決定分叉鏈頭
32 Slot = 1 Epoch
1 slot的時間是12秒,隨機選擇的驗證者在此時間內提議一個區塊。每個slot中可能有也可能沒有區區塊。全部驗證者被分成多個委員會,由一個或多個單獨的委員會負責驗證每個slot。委員會中有一個驗證者將被選為聚合者(aggregator,),而其他127個驗證者將進行驗證。在每個Epoch之后,各委員會的驗證者被混合并合并到新的委員會。每個委員會至少有128名驗證者。
   
金色財經鏈上活躍度播報丨BTC 24h鏈上活躍地址數下降6.46%:據歐科云鏈OKLink數據顯示,BTC 24h鏈上活躍地址數總計890228,較前日下降6.46%;鏈上交易量總計559736.0BTC,較前日下降1.05%;鏈上交易筆數總計274897,較前日上升2.21%;BTC鏈上活躍度下降。[2020/5/20]
1 Epoch = 32 Slot
1個Epoch表示32個slot的數量,大約耗時6.4分鐘。
當涉及到驗證者隊列和最終確定性時,Epoch扮演著重要的角色。
存款合約是通過以太坊1.0上的智能合約到達以太坊2.0的網關。
智能合約接受任何最少1個ETH和有效輸入數據的交易。
以太坊2.0信標節點監聽存款合約,并運用輸入數據來信任各驗證者節點。
輸入數據,也稱為存款數據,是用戶生成的,長度為842個字符的序列。
它表示驗證者公鑰和取款公鑰,由驗證者私鑰簽名。輸入數據需要添加到交易和存款合約中,以便由信標鏈識別。
驗證者需要在以太坊1.0鏈上的驗證者存款合約中存入32個ETH。驗證者運營商必須運行一個驗證者節點。驗證者的職責是提議區塊和簽署證明。驗證者必須至少保證一半的在線時長,才能獲得正向回報。
金色財經挖礦數據播報 | BCH今日全網算力下降11.43%:金色財經報道,據蜘蛛礦池數據顯示:
ETH全網算力188.208TH/s,挖礦難度2407.03T,目前區塊高度9983844,理論收益0.00763244/100MH/天。
BTC全網算力112.531EH/s,挖礦難度15.96T,目前區塊高度628504,理論收益0.00001575/T/天。
BSV全網算力1.225EH/s,挖礦難度0.20T,目前區塊高度633055,理論收益0.00073448/T/天。
BCH全網算力1.620EH/s,挖礦難度0.23T,目前區塊高度633297,理論收益0.00055538/T/天。[2020/5/2]
符合激活資格&預估激活
具體參考下文關于等待激活驗證者的相關術語解釋。保證金存款已經過ETH2鏈“符合激活條件”時間戳識別。如果存在等待激活驗證者隊列,則需計算預估激活時間戳。
每個驗證者都會接收屬于自己的唯一索引。
   
當前余額表示驗證者目前持有的ETH數量。有效余額表示由當前余額計算的值,用于確定驗證者獲得的獎勵或懲罰的大小。有效余額永遠不得超過32 ETH。
金色午報 | 1月18日午間重要動態一覽:7:00-12:00關鍵詞:深圳、上海市、BCH、澳本聰
1. 深圳市稅務局副局長:未來將上線基于區塊鏈的納稅證明等創新項目;
2. Block.one CEO BB 澄清Coindesk不實新聞;
3. 衡水市市長吳曉華:運用區塊鏈建設智慧醫療、智慧旅游等29個智慧城市項目;
4. 上海市人民檢察院檢察長:加強對涉“區塊鏈”犯罪研判和打擊;
5. 區塊鏈增值稅退稅APP將使外國游客在泰國消費增加10%;
6. 外媒:加密貨幣市場市值未來幾周或將突破3000億美元;
7. BCH持續上漲突破400美元關口,日內漲幅超14%;
8. 蘭州市《政府工作報告》提出積極推廣區塊鏈等新技術;
9. 律師:澳本聰目前尚未擁有80億美元比特幣的私鑰。[2020/1/18]
為了增加有效余額,驗證者要求“有效余額 + 1.25 ETH”。換換句話說,如果有效余額為20 ETH,則需要當前余額為21.25 ETH,才能獲得21的有效余額以太坊。如上例所示,有效余額將在低于閾值0.25時進行調整。
以下是說明有效余額如何變化的例子:
如果當前余額為32.00 ETH ——有效余額為32.00 ETH。
分析 | 金色盤面:市場分化明顯 短線保持觀望:金色盤面綜合分析:在BTC維持了高位震蕩的情況下,市場開始逐漸分化,從圖中可以清晰看出,權重幣走勢不再同步,ETH、EOS、XRP、BCH都出現了1%左右的下跌,由于技術背離的風險尚未化解,請投資者保持謹慎。[2018/9/4]
如果當前余額從22.00 ETH下降到21.76 ETH——有效余額將為22.00 ETH。
如果當前余額增加到22.25 ETH、且有效余額為21 ETH,則有效余額增加到22 ETH。
Slasher自成實體,但需要一個信標節點來接收證明。
為了通過驗證者發現惡意行為,slasher遍歷所有接收到的證明,直到發現罰沒攻擊。
被發現的罰沒被廣播到網絡中,下一個區塊提議者將證明添加到區塊中。區塊提議者會因為罰沒惡意驗證者而獲得獎勵。
然而,舉報人(Slasher)不會得到獎勵。
可罰沒的罪行
證明者違規(Attestation Violation)
雙重投票:驗證者在同一個epoch簽署兩個沖突的證明。
環繞投票:驗證者環繞另一個證明簽署證明。
行情 | 金色盤面:Eos持續下跌,成交量大幅萎縮:金色盤面分析師表示:Eos持續下跌,成交量大幅萎縮,殺跌動能減弱,日線macd出現底背離,一般btc觸底反彈,柚子彈性更好些。[2018/8/3]
提議者違規(Proposer Violation)
雙重區塊提議:一個區塊提議者為同一個slot簽署兩個沖突區塊。
驗證區塊有效性的證明者(Attester)進行的投票。
信標鏈所選擇的驗證者,提議出下一個區塊。每個slot只能有一個有效區塊。
已提議區塊(Proposed):區塊通過驗證被驗證者提議。
提議中區塊(Scheduled):驗證者正在提交數據。
漏塊(Missed/Skipped):提議者沒有在既定時間內成功提議區塊,所以該區塊被漏掉了。
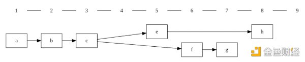
孤塊(Orphaned):為了理解該術語,我們來看下圖,其中數字1-9代表slot。
1、slot1的驗證者提議區塊“a”。
2、slot2的驗證者提議區塊“b”。
3、slot4被漏掉了,因為驗證者沒有提議任何區塊(如離線)。
4、在slot5/6出現了分叉:驗證者(5)提議了一個區塊,但是驗證者(6)沒有收到相關信息(例如,該區塊到達該驗證者的速度不夠快)。所以驗證者(6)根據從驗證者(3)那里看到的最新信息提議了一個區塊。
5、分叉選擇規則在這里起關鍵作用——決定了可用鏈中那條鏈是規范鏈。
   
32 ETH已存入ETH1存款合約,該狀態將維持7小時左右。這為在ETH1鏈受到攻擊時提供了安全性。
(2)等待激活
等待在ETH2上激活。
在驗證者進入驗證者隊列之前,它們需要經其他活躍的驗證者投票加入。每4小時進行一次投票。
直到網絡中有327680個活躍驗證者之前,每個epoch可以激活4個驗證者。每增加65536(=4 * 16384)個活躍驗證者,驗證者激活率就相應增加1個點。
此后每個epoch可激活5個驗證者,則需要327680個活躍驗證者,也就是每天1125個驗證者。
每個epoch激活6個驗證者,則需要393216個活躍驗證者,也就是每天1350個驗證者。
每個epoch激活7個驗證者,則需要458752個活躍驗證者,也就是每天1575個驗證者。
每個epoch激活8個驗證者,則需要524288個活躍驗證者,也就是每天1800個驗證者。
每個epoch激活9個驗證者,則需要589824個活躍驗證者,也就是每天2025個驗證者。
每個epoch激活10個驗證者,則需要655360個活躍驗證者,也就是每天2200個驗證者。
激活數量隨激活驗證者數量的增加而增加,其限制為激活驗證者集除以64.000。
(3)活躍驗證者(Active Validator)
當前正在確認和提議的塊(=區塊提議者)
驗證者將保持活動狀態,直到:
其余額低于16 ETH(被踢出網絡)
自愿退出
被罰沒
(4)被罰沒驗證者(Slashing Validator)
驗證者是惡意驗證者,將被罰沒并踢出系統。
懲罰(Penalty)是一S種消極的獎勵(如離線)。
罰沒(Slashing)是重大的懲罰(≥1/32的質押余額)和強制退出... .—— Justin Drake
(5)正退出的驗證者(Exiting Validator)
踢出網絡:驗證者余額低于閾值,被踢出網絡。
退出網絡:自愿退出,取款密鑰持有人可提取相應驗證者余額的當前余額。
在以太坊2.0中,至少有三分之二的驗證者必須誠實,因此,如果存在兩個相互競爭的epoch,并且三分之一的驗證者決定實施惡意行為,他們將受到懲罰。誠實的人會得到獎賞。
為了確定一個Epoch是否已經最終確定,驗證者必須同意連續的最新兩個Epoch(= “被證明的”),然后所有之前的Epoch都可以被認為已經最終確定。
   
   
北京時間9月15日19:26最終確認的Epoch和正在處理區塊的Epoch
如果某個epoch的投票率低于66.6%(=參與率),則該epoch不能成立。正如在“最終確定”概念提到的,需要連續三個被證明的epoch才能達成最終確定性。只要鏈不能達到這個狀態,就存在最終確定性問題。
在存在最終確定性問題期間,驗證者隊列將被暫停,新的驗證者不能加入網絡,但是,余額小于16 ETH的非活躍驗證者將被踢出網絡。這使得網絡更加穩定,參與率也更高。
DeFi之道
財經法學
成都鏈安
金色早8點
Bress
鏈捕手
PANews
Odaily星球日報
原文作者:olimpio原文編譯:wzp,BlockBeats本文梳理自加密 KOL olimpio 在個人社交媒體平臺上的觀點.
1900/1/1 0:00:00MEV套利將不再是少數人的特權,而會成為ETH質押者收入的一部分。 撰文:David Hoffman, Bankless 聯合創始人 編譯:DeFi 之道 在合并后的以太坊世界中,以太坊交易將通.
1900/1/1 0:00:00最近,關于 Aptos 和 Sui 的討論如火如荼,兩者是新興的高性能 L1 公鏈,Move 智能合約編程語言是這些新鏈必不可缺的組成部分.
1900/1/1 0:00:00撰文:JoeJoe 碎碎念索引:北京時間 2022 年 9 月 15 日 14 時 42 分,以太坊執行層于區塊高度 15537393 完成與信標鏈的合并,并在下一個區塊高度成功出塊.
1900/1/1 0:00:00FBI也在關注DeFi犯罪了。2022年8月29日,FBI互聯網犯罪投訴中心(Internet Crime Complaint Center,IC3)在其官網發布DeFi投資提醒,IC3表示,F.
1900/1/1 0:00:00金色財經報道,8月12日,Gitcoin官方發文宣布將推出Gitcoin Passport作為去中心化互聯網中的公民身份通行證。介紹表示,Passport是一個去中心化的標識符.
1900/1/1 0:00:00