BTC/HKD-0.46%
ETH/HKD-2.08%
LTC/HKD-2.39%
ADA/HKD-3.34%
SOL/HKD-2.06%
XRP/HKD-2.12%arkworksformarlin
Marlin
Fractal
RICS



則R1CS成立。
TransitionintoPolynomial(efficiency)
Prepare

Definepolynomial

2.為向量z=(x,w)定義多項式
BALD項目方移除6809枚ETH流動性,幣價瞬時下跌82%:7月31日消息,行情顯示,BALD項目方撤除了6809枚ETH流動性,幣價瞬時下跌82%。BALD價格短時從0.097美元跌至0.013美元附近,5分鐘跌逾85%,目前已經回升至0.038美元。[2023/7/31 16:09:15]

3.為矩陣A,B,C定義多項式
為了減小verifier計算的復雜度,這?用了一個特殊的形式來表示矩陣,以上述示例的矩陣A為例:


Linearitycheck


Meta已經成立了一個名為Ouro Interactive的內部工作室:金色財經報道,由于VR平臺普及速度慢于預期,Meta的元宇宙業務“地平線世界”(Horizon Worlds)自上線以來的表現一直都不太理想。Metaverse副總裁Vishal Shah近日接受Lowpass技術通訊專訪時表示,為了讓“地平線世界”更受矚目,Meta已經成立了一個名為Ouro Interactive的內部工作室,專注于制作第一方虛擬游戲。
該工作室的第一款VR產品是一款名為《Super Rumble》的射擊游戲,它比基于Horizon Worlds構建的其他VR游戲擁有更好的圖形和擬真度。Shah表示,這款游戲也將成為Meta計劃在最終推出“地平線世界”移動版本時測試的首批VR游戲之一。(DoNews)[2023/7/31 16:08:18]

可以看出,當多項式t(X)取遍H值時,滿足:

同樣,也可以從公式推導:

Blur創始人:計劃在Season 2中分配較最初設定的3億枚更多的BLUR:7月20日消息,Blur創始人Pacman在社區AMA中表示,確實計劃在Season 2中向用戶分配較最初設定的3億枚更多的BLUR。Pacman表示,如果你仔細看了我們之前關于Season 2的推文,你會發現我們所用的表述并非是3億代幣,而是3億+代幣。
除此之外,Pacman并未提及任何關于分配時間的內容,只是說了“會盡快”。[2023/7/20 11:06:43]

AHPforR1CS
Common

Prover
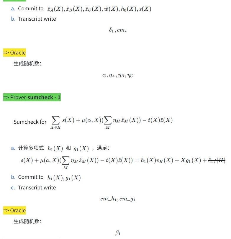
=>Prover

=>Oracle

數字出版與元宇宙產業發展研討會在京召開:金色財經報道,2月23日,第十二屆數字出版博覽會“數字出版與元宇宙產業發展”研討會在北京人衛酒店召開。當天下午舉行的圓桌論壇圍繞“元宇宙生態下的新型融合出版”“元宇宙產業中的新技術和成果應用”等內容展開,多位專家、學者共同參與研討。(中國新聞出版廣電報)[2023/2/23 12:25:48]
=>Prover-sumcheck-1

=>Oracle

=>Prover-sumcheck-1

=>Prover-sumcheck-2

Bored Ape Yacht Club #5196 以108ETH的價格成交:金色財經報道,數據顯示,Bored Ape Yacht Club #5196 以108ETH的價格成交。[2023/2/20 12:16:26]
=>Oracle

=>Prover-sumcheck-2

=>Prover-sumcheck-3

=>Oracle

=>Prover-sumcheck-3

Verifier
=>Verifier-sumcheck-3

=>Verifier-sumcheck-2
Recalltheequality

=>Verifier-sumcheck-1
Recalltheequality

=>Verifier

Polynomialcommitment
協議總共進行了三輪交互,每輪交互承諾的多項式,以及query的點如下:

Optimization
Sum(s(X))=0
生成隨機多項式:

Reducesumcheck
根據COS20.Claim6.7論?提到的優化,我們令:

Common

Prover




Verifier

ReducepolynomialnumbersforSumcheck-2
對三個矩陣的現行校驗,壓縮成對一個矩陣的校驗,即:

對這個多項式進行稀疏矩陣的表示。
矩陣多項式,從9個縮減為3個。
Setb=1
令b=1
FinalProcotol
Marlininarkworks
關于我們
Sin7y成立于2021年,由頂尖的區塊鏈開發者組成。我們既是項目孵化器也是區塊鏈技術研究團隊,探索EVM、Layer2、跨鏈、隱私計算、自主支付解決方案等最重要和最前沿的技術。
微信公眾號:Sin7Y
GitHub|Twitter|Telegram|Medium|Mirror|HackMD|HackerNoon
前言 北京時間2022年5月16日,知道創宇區塊鏈安全實驗室監測到多鏈DeFi協議FEG遭到閃電貸攻擊,攻擊者竊取144ETH和3280BNB,損失約130萬美元.
1900/1/1 0:00:002021年,Coinbase創造了80億美元的收入、36億美元的凈收入和14美元的每股收益,但現在,沒有人知道Coinbase是否能夠恢復昔日榮光.
1900/1/1 0:00:00重磅!波場主網上線4周年! 2018年5月31日,波場主網正式上線。經過4年的發展,波場生態愈發蓬勃,當前已涵蓋DeFi、NFT、Web3、元宇宙、GameFi、穩定幣等諸多領域.
1900/1/1 0:00:00據最新消息,為促進TRX和USDD市場健康可持續發展,維護用戶的資產安全,JustLend已于2022年6月27日調整了TRX和USDD市場的基礎利率參數.
1900/1/1 0:00:00據官方消息,FTX交易所現已支持波場版USDC。截至目前,TRC20-USDC發行量已達28.9億枚,波場TRON已成為USDC第三大發行網絡!FTX暫停出售AI公司Anthropic的5億美元.
1900/1/1 0:00:00據官方消息,為了保護整個區塊鏈行業和加密市場,7月2日,波場聯合儲備已向CeFi交易所存入了500萬枚USDC,以回購USDD和TRX.
1900/1/1 0:00:00