BTC/HKD+2.55%
ETH/HKD+3.35%
LTC/HKD+1.52%
ADA/HKD+2.18%
SOL/HKD+1.95%
XRP/HKD+5.22%Overview概述觀點一:2019年7月13日至2020年7月13日,數字貨幣市值前十整體風險水平下限高于A股市值前十24.52%觀點二:超額回報方面,A股市值前十組成的投資組合高于數字貨幣市值前十組成的投資組合Report報告在介紹研究結果之前,首先對本文所用模型進行概述。馬科維茨模型
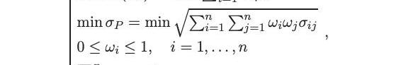
對于任何投資者或股市投機者來說,首先要考慮的是投資回報和相關風險。畢竟天下沒有免費的午餐,這意味著在沒有初始投資的情況下,錢不可能憑空而來。同樣,你不可能沒有風險就賺錢,因此,風險隨著有效邊界上證券的預期利潤而增加。根據現代投資組合理論(MPT),為了建立一個最優的投資組合,采用了基于收益率、風險和證券相關性的統計考慮的選擇方法。證券可以是股票、債券、指數、期貨/期權、結構性產品、大宗商品、貨幣;幾乎任何可以在預定的時間范圍內精確確定回報率的交易資產。投資組合的資產多元化旨在降低特定發行人或市場特有的非系統性風險。但是,在哈里?馬科維茨(HarryMarkowitz)在1952年的文章“投資組合選擇”中發表了現代投資組合理論之前,投資者在構建投資組合時關注的是對單個證券的風險和收益的評估。投資決策是基于確定回報率最高、風險較小的證券,然后將它們納入投資組合。馬科維茨提出了另一種分散投資的方法,即在對投資組合的整體風險進行評估后再構建投資組合,即可選擇的總體投資組合,而不是構建一個由不同的、預先選定的證券組成的投資組合。因此,重點是資產特征之間的關系,而不是實際特征。1990年,哈里?馬科維茨(HarryMarkowitz)與莫頓?米勒(MortonMiller)和威廉?夏普(WilliamSharpe)因在投資組合理論方面的工作獲得了諾貝爾經濟學獎。它的基本假設是一段時間內的收益證券是隨機變量,因此可以計算出數學期望和標準差,因為標準差被認為是投資風險的度量。投資組合E(rP)的預期收益率是包含在其中的資產的預期收益率的線性組合,這些因素是資產在投資組合中的相對份額。投資風險是用標準差(標準差P)來度量的,它依賴于單個資產收益率的非線性標準差和協方差。馬科維茨的多樣化思想是與越來越多的資產組合,協方差的相應數量變得明顯大于資產的數量,因此投資組合的風險將更大程度取決于資產之間的協方差,而不是單個資產的風險。馬科維茨模型參數優化的表觀形式有如下數學表示:
OpenSea Pro已集成NFT交易協議SudoSwap V2版本:6月15日消息,據官方推特,NFT市場OpenSea Pro(原名Gem)宣布集成NFT交易協議SudoSwap V2版本。用戶現在可以在OpenSea Pro上購買在SudoSwap V2上架的NFT。[2023/6/15 21:38:33]

ωi就是將投資于i的資本比例;ri是資產i的收益率;μi是資產的預期收益率;其中,μij是資產i與j的收益率的協方差;E(rP)為投資組合的預期回報率;σP是投資組合的風險。這種模型對于大多數實際情況來說都足夠普遍,對于理論分析和數值解來說也足夠簡單。該模型以其創建者Markowitz模型的名字命名,但也以均值-方差模型的形式出現。馬科維茨模型基于投資者和金融市場行為的幾個假設:-投資者可估計某一持倉期間可能收益的概率分布。-投資者具有單期效用函數,在財富邊際效用遞減的框架內最大化效用。-投資者利用可能回報值的可變性來衡量風險。-投資者只關心他們的投資組合在特定時期內的收益的平均值和方差。-投資者所使用的預期回報和風險是由回報概率分布的前兩個時刻來衡量的-期望值和方差。-金融市場沒有摩擦。-沒有交易成本或稅收。投資組合有效邊界
游戲發行商BRAVO READY宣布獲得Aptos的戰略投資:金色財經報道,游戲發行商BRAVO READY宣布獲得Aptos Labs的戰略投資,該投資將用于推出“Aptos Arena”。這是兩家工作室之間的獨家游戲合作,以及未來Aptos與《BR1: INFINITE》的整合。
Aptos Labs 的聯合創始人兼首席執行官 Mo Shaikh 表示,2023年是Web3游戲在全球范圍內獲得采用的一年,BRAVO READY的團隊已經在推動實現這一目標。[2023/3/17 13:10:56]
每一種可能的資產組合都可以繪制在風險回報空間中,所有這些可能的投資組合的集合在這個空間中定義了一個區域。這一區域的上邊緣被稱為有效邊界,有時也被稱為“馬科維茨子彈”。沿著這條線的組合代表投資組合(明確地排除無風險的選擇),對于給定的回報水平,風險是最低的。相反,對于給定的風險量,位于有效邊界上的投資組合代表提供最佳可能回報的組合。從數學上講,有效邊界是風險最小的組合和收益最大的組合的交集。

上圖展示了整個投資機會集,它是由不同比例的資產組成的投資組合所能提供的風險和回報的所有可達到的組合。在有效邊界上繪制的投資組合中特定風險資產的組合代表了投資組合在期望的預期收益水平上可能的最低風險,或者在可接受的風險水平上可能的最佳預期收益。結果分析與討論
Bit Mining在推出新的萊特幣、狗幣礦機后股價上漲51%:金色財經報道,Bit Mining周二宣布了一款被稱為LD3的新萊特幣和狗幣礦機,并于1月9日在推特上首次公布了這一消息。
Bit Mining股價上漲約51%,多數礦業股隨著比特幣的上漲而上漲。[2023/1/18 11:17:59]
一般來說,需要至少30年,才能對股票的風險和預期回報作出有用和現實的預測。不幸的是,木桶效應決定了短板在于數字貨幣并沒有這么長的歷史。這項研究的數據僅包括市值前十的數字貨幣365天的歷史價格,與其相比較的是A股市場市值排名前十的股票365天的歷史價格。具體來說,從2019年7月13日到2020年7月13日,每天的股票收盤價都會被追蹤。截至2020年7月,兩個市場前十市值的標的如下所示:


所選股票的風險和回報
我們可以計算出20項資產中每項資產的平均周回報率。在2019年7月13日到2020年7月13日的研究期間,20只樣本中有10只產生了正回報。剩下的6%表現不佳,回報率為負。
Glassnode:持有1萬枚以上BTC的巨鯨曾在24500美元左右積極拋售:金色財經報道,據區塊鏈分析公司Glassnode分析數據顯示,持有1萬枚以上BTC的比特幣巨鯨曾在24500美元左右積極拋售比特幣,他們在全球市場不確定性中利用任何流動性機會退出市場,巨鯨向市場提供的過量供應似乎已經壓倒了已經被侵蝕的需求方,最終形成了一個局部頂部。當發生拋售后,比特幣跌至1.76萬美元低點,之后加密市場出現鮮明的逆轉,目前比特幣已升至2.1萬美元上方,巨鯨也迅速從提款逆轉為向交易所充值。[2022/9/10 13:21:36]

上表列出了十大股票和十大數字貨幣的收益率對比。從表格中可以看出,數字貨幣CHAINLINK的收益在所有投資品中最高。數字貨幣收益率的前三名遠高于A股。最小化投資組合風險的有效邊界
下面兩張圖所示的有效邊界說明了對任何目標收益率而言風險最低的有效組合的集合。在相同的回報水平下,沒有其他投資組合的風險比位于這個有效邊界上的投資組合更低。我們利用這十只股票的不同配比進行了100萬種隨機假設,并將每一種假設的收益率作為x,y軸坐標制作成了散點圖。此外,我們根據每一個組合的夏普比設置了從低到高由紅至綠的顏色。數字貨幣組合
NOIZ獲得香港上市公司Merdeka和東方表業的支持:金色財經消息,區塊鏈即服務(''BaaS'')公司 NOIZChain Limited(\"NOIZ\")獲得了創業板上市公司 Merdeka Financial Group Limited(股票代碼:8163)(\"Merdeka\")和主板上市公司 Oriental Watch Holdings Limited(股票代碼:0398)(\"Oriental Watch\")的支持,這些上市公司希望對其未來業績進行投資。
Merdeka于6月17日宣布東方表業認購了新股。認購股份約占Merdeka現有已發行股份的3.09%,扣除相關費用后的所得款項凈額預計約為300萬港元,擬用作NOIZ的一般營運資金。
在從Merdeka和Oriental Watch獲得的支持下,NOIZ將繼續投資于公司在收購前確定的增長目標,專注于成為每個企業的通用區塊鏈平臺供應商,提供簡單的區塊鏈基礎設施設置和具有可擴展和可持續商業模式的持續支持。(prnewswire)[2022/6/28 1:36:09]

股票組合

一旦有效邊界被構造出來,特定投資者的任務就是根據他們獨特的風險偏好從圖上的點選擇他們自己適用的投資組合。風險容忍度低的投資者傾向于選擇風險與收益組合位于前沿左側的投資組合。相反,那些愿意接受高風險以賺取更多回報的人,可能對位于邊界右側的投資組合感興趣。最小風險組合
根據馬科維茨模型定義,我們得到最小風險組合中各組成資產的精確權重,如下圖所示。在這個投資組合中,10只股票樣本中的資產仍然存在比重分配差異。值得注意的是,收益率最高的貴州茅臺和恒瑞醫藥的分配比例并不高,分別占總投資組合的0.64%和8.91%。獲得最大權重分配的是中國銀行和農業銀行,分別占28.67%和23.84%,其收益率分別是-0.27%和-6.69%。最小風險組合的平均收益為2.95%,風險水平為13%。該投資組合的夏普比率為0.211。股票組合

在下圖這個數字貨幣投資組合中,10個數字貨幣樣本中的資產依舊存在比重分配差異。值得注意的是,收益率最高的CHAINLINK和CRYPTO.COM的分配比例依舊并不高,分別占總投資組合的5.41%和3.12%。獲得最大權重分配的是ETH和BTC,分別占41.59%和20.42%,其收益率分別是3.68%和-12.7%。最小風險組合的平均收益為13.28%,風險水平為38.50%。該投資組合的夏普比率為0.34。

最大夏普比率投資組合
除最小風險組合外,我們也計算了最大夏普比組合中各組成股的精確權重,如下表所示。在最大夏普比率組合中,資產仍保持不同的權重配置。10只股票中的配置差異十分懸殊。值得注意的是,貴州茅臺和恒瑞醫藥是權重配置最大的股票,分別為30.04%和26.90%。該投資組合的預期收益率為39.75%,風險水平為21.01%,夏普比率為1.89。

如下表所示。在最大夏普比率組合中,在最大夏普比率組合中,資產仍保持不同的權重配置。10個幣種的配置差異十分懸殊。值得注意的是,link和cro是權重配置最大的股票,分別為30.61%和32.92%。該投資組合的預期收益率為114.87%,風險水平為68.64%,夏普比率為1.67。

Conclusion結語本研究實現了實際應用Markowitz模型建立最優投資組合的目標。通過投資于有效的投資組合——位于有效邊界上的投資組合,在一定的風險水平、最大的夏普比率或最小的風險下,投資者能夠獲得最大的投資回報。這是馬科維茨多樣化的力量,投資者如果知道如何恰當地應用馬科維茨模型,就可以改善他們的投資業績。風險提示:警惕打著區塊鏈和新技術的旗號進行非法金融活動,標準共識堅決抵制利用區塊鏈進行非法集資、網絡傳銷、ICO及各種變種、傳播不良信息等各類違法行為。
會議要求,2020年下半年,人民銀行系統要堅持穩中求進工作總基調,堅持新發展理念,以供給側結構性改革為主線,扎實做好“六穩”工作、全面落實“六保”任務,堅持總量適度、合理增長,著力穩企業保就業.
1900/1/1 0:00:00編者按:本文來自小吒閑談,Odaily星球日報經授權轉載。DeFi成為了2020年下半年的熱點,有熱點就不缺模仿者,特別是DeFi協議還開源的,模仿者真不少,基本上每條公鏈都要進軍DeFi市場.
1900/1/1 0:00:00根據銀保監會等五部門發布的《關于防范以“虛擬貨幣”“區塊鏈”名義進行非法集資的風險提示》,請大家樹立正確的投資理念,本文內容報道不對任何經營與投資活動推廣進行背書,請投資者提高風險防范意識.
1900/1/1 0:00:00這輪牛市中,以太坊明顯要更強勢一些。一方面是價格上漲的幅度更大,另一方面是行情啟動更早。在經歷了2號的回調后,價格重新站穩390美元,期權持倉量再創新高,達到3.33億美元,期權的各項數據都十分.
1900/1/1 0:00:00編者按:本文來自鏈捕手,作者:王大樹,Odaily星球日報經授權轉載。在當下這個眾所盼望的「牛市」起點,波卡作為跨鏈明星項目被公眾寄予厚望,然而,此「厚望」的實現仍需跨越一系列艱難險阻.
1900/1/1 0:00:00最新消息,日本央行周五表示,已任命其最高經濟學家KazushigeKamiyama擔任支付和結算部門負責人,該部門負責監管央行數字貨幣.
1900/1/1 0:00:00